Nucleic acids Flashcards

(68 cards)

1
Q

What does each colour represent in a ball and stick model?

A

Red- oxygen
Blue- Nitrogen
Grey/black - Carbon
White- Hydrogen
Yellow- Sulfur

How well did you know this?
1
Not at all
2
3
4
5
Perfectly
2
Q

Are these Pyrimidines or Purines? And what base is each?

A

They are pyrimidines, the left is cytosine and the right is thymine

How well did you know this?
1
Not at all
2
3
4
5
Perfectly
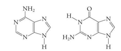
3
Q

Are these Pyrimidines or Purines? And what base is each?

A

They are Purines, the left is adenine and the right is guanine

How well did you know this?
1
Not at all
2
3
4
5
Perfectly
4
Q

What is this the common structure of?

A

A pyrimidine

How well did you know this?
1
Not at all
2
3
4
5
Perfectly
5
Q

What is this the common structure of?

A

A purine

How well did you know this?
1
Not at all
2
3
4
5
Perfectly
6
Q

What structure is this?

A

Uracil

How well did you know this?
1
Not at all
2
3
4
5
Perfectly
7
Q

What structure is this?

A

Deoxyribose

How well did you know this?
1
Not at all
2
3
4
5
Perfectly
8
Q

What structure is this?

A

Ribose

How well did you know this?
1
Not at all
2
3
4
5
Perfectly
9
Q

What is the numbering order of this base

A
How well did you know this?
1
Not at all
2
3
4
5
Perfectly
10
Q

what is the numbering of this base?

A
How well did you know this?
1
Not at all
2
3
4
5
Perfectly
11
Q

what did Avery-Macleod-McCarty discover when the mouse was injected with the rough strain?

A

the mouse lived

How well did you know this?
1
Not at all
2
3
4
5
Perfectly
11
Q

what did Avery-Macleod-McCarty discover when the mouse was injected with the smooth strain?

A

the mouse died

How well did you know this?
1
Not at all
2
3
4
5
Perfectly
12
Q

what did Avery-Macleod-McCarty discover when the mouse was injected with the heat killed smooth strain?

A

the mouse lived

How well did you know this?
1
Not at all
2
3
4
5
Perfectly
13
Q

what did Avery-Macleod-McCarty discover when the mouse was injected with the rough strain and heat killed smooth strain?

A

the mouse died

How well did you know this?
1
Not at all
2
3
4
5
Perfectly
14
Q

what is T2

A

a virulent virus that infects E.coli
-protein coat high in S and DNA high in P

How well did you know this?
1
Not at all
2
3
4
5
Perfectly
15
Q

what experiment proved to scientists that DNA is the genetic material and not protein?

A

Hershey-chase experiment showed that DNA is responsible for genetic transduction

How well did you know this?
1
Not at all
2
3
4
5
Perfectly
16
Q

what are nucleotides comprised of?

A

Phosphate, sugar and base

How well did you know this?
1
Not at all
2
3
4
5
Perfectly
17
Q

what determines the structure of nucleic acids?

A

the strucuture of nucleotides incorporated into nucleic acids

How well did you know this?
1
Not at all
2
3
4
5
Perfectly
18
Q

what is the structural difference between uracil and thymine?

A

thymine has a methyl group at C5

How well did you know this?
1
Not at all
2
3
4
5
Perfectly
19
Q

what is a nucleoside?

A

a base and a sugar (no phosphate group)

How well did you know this?
1
Not at all
2
3
4
5
Perfectly
20
Q

what N of the base is the 5C sugar linked to in pyrimidines vs purines?

A

N1 in pyrimidines
N9 in Purines

How well did you know this?
1
Not at all
2
3
4
5
Perfectly
21
Q

what is the suffix when naming purine nucleosides? what is adenine and guanine called when attatched to a ribose? and deoxyribose?

A

“osine”

adenosine and guanosine
deoxyadenosine and deoxyguanosine
-depends on the sugar attached

How well did you know this?
1
Not at all
2
3
4
5
Perfectly
22
Q

what is the suffix when naming pyrimidine nucleosides? what are cytosine, thymine and uracil called when attatched to a ribose? and deoxyribose?

A

“idine”

cytidine, thymidine, uridine

deoxycytidine, deoxythymidine, deoxyuridine

How well did you know this?
1
Not at all
2
3
4
5
Perfectly
23
Q

what is the difference between a phospho ester and a phosphodiester?

A

phospho diester is attatched to 2 R groups while a phospho ester is only attatched to one

How well did you know this?
1
Not at all
2
3
4
5
Perfectly
24
what bond links a carbon group to a phosphate group?
phosphoesters
25
what bond links TWO different CARBONS to one phosphate group?
phosphodiester
26
what bond links TWO PHOSPHATES to each other?
phosphoanhydride
27
what is the conventional nucleotide structure sequence?
5' to 3'
28
is DNA or RNA more readily hydrolyzed?
RNA is more readily hydrolyzed due to the prescence of a 2' OH
29
is DNA or RNA more stable under basic conditions?
DNA is more stable due to abscence of 2' OH
30
how can uracil be formed from cytosine?
-spontaneous uncatalyzed reactions that convert C to U -Uncorrected DNA mutation
31
what products can form fromhydrolysis of phosphodiester bonds?
https://youtu.be/HO0B3j7HBuA?si=JO8xxZ_dj7DEJBYu
32
are the bases polar or non-polar?
they are poorly soluble in water as they are largly hydrophobic
33
is the sugar phosphate backbone polar or non-polar?
it is polar
34
are pyrimidines numbered clockwise or counterclockwise?
clockwise
35
are purines numbered clockwise or counterclockwise?
counterclockwise
36
what kind of light do bases absorb? why?
they absorb UV light due to their electron delocalization of the ring
37
what can UV absorption of DNA be used to determine?
purity -1.95 is pure
38
what wavelength is protein maximally absorbed at?
280nm
39
will impure DNA have a higher or lower A260/A280 ratio?
lower
40
what is A260nm used to measure?
the [nucleic acids] in a solution
41
what carbons are joined together in phosphodiester bonds that link adjacent nucleotides?
carbon 3' to the adjacent 5' nucleotide carbon
42
what is the prominent form of DNA in the body?
B form -right handed twist
43
what is the primary stabilising force in DNA?
base stacking forces -van der waals (primary) -hydrophobic
44
why are bases in DNA largely excluded from H2O?
to stabalize H-bonds
45
what part of DNA is exposed to H2O?
ribose / deoxyribose and phosphates due to their higher polarity
46
how many base pair are there per turn of DNA?
~10 bp per turn
47
what is found in the core of DNA?
the hydrophobic bases
48
why is DNA more stable in high [salt]?
salt reduces electrostatic repulsion among phosphodiester groups -low [salt] will destabalize H-bonds
49
will absorption increase or decreases after denaturation?
increase in absorption will be seen at 260nm as strands separate
50
what is Tm?
the midpoint of melting and is characteristic of the base composition
51
does single stranded DNA or double stranded DNA have higher absorbance?
single stranded
52
what is hyperchromicity?
high absorbance -SS DNA
53
what is hypochromicity?
low absorbance -DS DNA
54
what is the difference between nucleation and zippering?
they are both renaturation (reformation of DS DNA) to regain native conformation -nucleation is slow -zippering is fast
55
why is Tm lower for AT in comparison to GC?
there are stronger base stacking interactions in GC than in AT
56
what does Tm depend on?
primary structure, solvent environment and base pairing
57
how can you tell this spot is AT rich?
there is more denaturation indicating high [AT]; Tm is lower so it requires less energy to unwind
58
how does pH affect Tm?
it affects protonation state of DNA
59
what does changing [salt] do to Tm?
decreased [salt] decreases Tm; destabilizes the double helix -ions shield negative charges on phosphate backbone
60
does increased hybridization following renaturation show an increase or decrease in Tm?
high Tm -used to identify similar sequences in different species
61
what kind of base pairing does DNA have?
interstrand
62
what forces stabalize RNA?
same as DNA -hydrogen bonds (base pairs) -base stacking
63
why can RNA form complex structures better than SS DNA?
the abscence of OH in DNA limits it from forming structures as complex as RNA
64
can DNA and complimetary RNA forma a DS helix?
yes this is common in trancription
65
what is the absorption 260nm/280nm ratio for pure RNA?
~2.1
66
can RNA for DS helices?
yes, even though it is SS, it will still form some SS or DS helical structures in which G may pair with U
67
why does the absorption melting curve for RNA begin higher than DNA?
due to the mixture of DS and SS strutcures