Protein structure P2 Flashcards

(41 cards)

1
Q

what side is the N and C terminus on?

A

N-terminus on the left side and C-terminus on the right

How well did you know this?
1
Not at all
2
3
4
5
Perfectly
2
Q

what is a polypeptide?

A

long chain of AA

How well did you know this?
1
Not at all
2
3
4
5
Perfectly
3
Q

what is a protein?

A

large polypeptide with a biological function

How well did you know this?
1
Not at all
2
3
4
5
Perfectly
4
Q

what is considered a dipeptide?

A

two AA joined by one peptide form

How well did you know this?
1
Not at all
2
3
4
5
Perfectly
5
Q

which amino and carboxylate groups retain their charge in a polypeptide?

A

the terminus groups

How well did you know this?
1
Not at all
2
3
4
5
Perfectly
6
Q

are peptide bonds covalent or non-covalent?

A

covalent

How well did you know this?
1
Not at all
2
3
4
5
Perfectly
7
Q

what is the primary protein structure?

A

sequence of AA residues

How well did you know this?
1
Not at all
2
3
4
5
Perfectly
8
Q

what is the secondary protein structure?

A

local folding of the polypeptide backbone

-alpha helix and B-sheets
-long chain of AA

How well did you know this?
1
Not at all
2
3
4
5
Perfectly
9
Q

what is protein tertiary structure?

A

the 3D structure of a long polypeptide including all of its side chains

How well did you know this?
1
Not at all
2
3
4
5
Perfectly
10
Q

what is quaternary protein structure?

A

multiple subunits of polypeptide structures

How well did you know this?
1
Not at all
2
3
4
5
Perfectly
11
Q

what is the characteristic of polypeptide backbone rotation?

A

rotation of the backbone is limited

How well did you know this?
1
Not at all
2
3
4
5
Perfectly
12
Q

how many AA are there per turn of an alpha helix?

A

3.6

How well did you know this?
1
Not at all
2
3
4
5
Perfectly
13
Q

how many residues per H-bond are there in alpha helices?

A

the carbonyl O2 of each reisdue forms an H-bond with the backbone -NH grouo FOUR residues downstream

How well did you know this?
1
Not at all
2
3
4
5
Perfectly
14
Q

which AA in primary structure are close in secondary structure?

A

amino acids 3-4 residues apart in the primary structure are close in the secondary structure

How well did you know this?
1
Not at all
2
3
4
5
Perfectly
15
Q

why is proline not common in the middle of an alpha helix?

A

there is no hydrogen bound to the N
-CH2 is too large to fit and cyclic structure creates kinks in the helix

How well did you know this?
1
Not at all
2
3
4
5
Perfectly
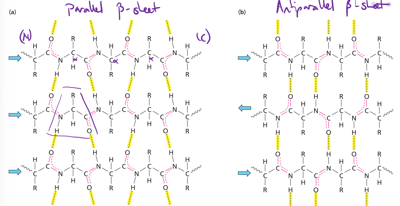
16
Q

what 2 conformations are seen with B-sheets?

A

parallel and antiparallel sheets

How well did you know this?
1
Not at all
2
3
4
5
Perfectly
17
Q

which carbonyl and nitrogens form interactions with each other in B-sheets?

A

every NH and Carbonyl are forming interactions with each other

18
Q

what types of structures are available to connect B-sheets?

A

irregular structures
-classified as secondary structures

19
Q

what is the difference in H-bond stabilization between alpha helices and B-sheets?

A

in alpha-helices H-bonds are between the backbone CO and NH groups in the SAME helices

B-sheet H-bonds are between the backbone CO and NH groups of neighboring strands

20
Q

what makes irregular secondary structures irregular?

A

they dont have repeating geometry

-alpha helices and B-sheets are regular due to each AA having the same conformation in the backbone

21
Q

what groups can tertiary structures be classified into?

A

fibrous (elongated)
- insoluble in (aq), long protein filaments
-structural or connective proteins (collagen)

globular (compact)
-soluble in (aq)
-fold on themselves into compact structures with non-polar core and polar surfaces

22
Q

what structures are expected to be seen on the exterior of the tertiary structure as compared to the core?

A

polar exterior: polar AA, irregular structures (interact with H2O to satisfy H-bond potential)

hydrophobic core: hydrophobic AA, regular structures

*AA 1-2 polar, AA 3-4 hydrophobic

23
Q

what is the driving force that soluble globular proteins adapt their tertiary structure?

A

hydrophobic effect

24
Q

what force is repsonsible for “fine tuning” and stabilizing secondary and tertiary structures?

A

weaker forces–> H-bonds and salt bridges

25
True or False: AA residues are capable of forming H-bonds with residues located in the same alpha helix AND neighboring helices
TRUE if they are polar -serine
26
what are salt bridges?
electrostatic intersactions between closely positioned formal charged groups form between (-) and (+) charges
27
what are disulfide bonds?
covalent bonds between closely positioned cysteine groups - these are not formed with methionine because a thiol group (SH) is needed to be oxidized -helps maintain structure; not a determinant
28
what is a domain in regards to protein structure?
a polypeptide segment that has folded into a single structural unit with a hydrophobic core -proteins may contain multiple domains
29
what is a motif in regards to protein structure?
a short region of polypeptide with a recognizable 3D shape - ex. zinc fingers
30
what are prosthetic groups?
non-peptide components that are permanently incorporated into a protein -provide structure and functional chemical groups
31
what are 2 examples of prosthetic groups?
Zn 2+ in zinc fingers and Heme in hemoglobin
32
what is an apoprotein?
a polypeptide without its prosthetic group
33
what is a holoprotein?
a polypeptide with its prosthetic group
34
why are globular proteins easily denatured?
they are stabilized by weak non-covalent forces -H-bonds/hydrophobic -salt bridges
35
what factors have an effect on denaturation?
heat, pH, salt and detergents
36
what can break disulphide bonds?
reducing agents
37
how are quaternary structures named?
by number and type of subunits -dimer, trimer, tetramer, pentamer
38
what are 2 identical quaternary subunits called?
homodimer
39
what are 2 non-identical quaternary subunits called?
heterodimer
40
what forces stabilize quaternary structures?
the same as tertiary -hydrophobic interactions -H-bonds, ion pairs (fine tuning)
41
true or false: polar amino acids in the hydrophobic core of a globular protein are involved in either H-bonding or ion pairs (salt bridges)
TRUE -depending on protonation state