Other Flashcards

(4 cards)

1
Q

Give the really useful trace identity

A
How well did you know this?
1
Not at all
2
3
4
5
Perfectly
2
Q

Give the defining properties of the gammas

A
How well did you know this?
1
Not at all
2
3
4
5
Perfectly
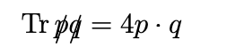
3
Q

Give the identity related the trace and the dot product

A
How well did you know this?
1
Not at all
2
3
4
5
Perfectly
4
Q

Give the formula when delta(g(x))

A
How well did you know this?
1
Not at all
2
3
4
5
Perfectly