The Feynman Path Integral Flashcards

(4 cards)

1
Q

Define matrix element in terms of the path integral

A
How well did you know this?
1
Not at all
2
3
4
5
Perfectly
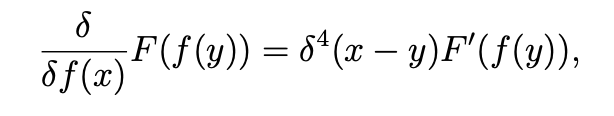
2
Q

Define functional derivative

A
How well did you know this?
1
Not at all
2
3
4
5
Perfectly
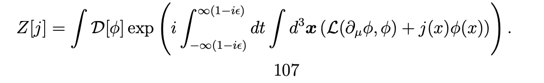
3
Q

Define Z[j]

A
How well did you know this?
1
Not at all
2
3
4
5
Perfectly
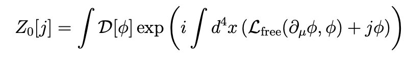
4
Q

Define Z_0[j]

A
How well did you know this?
1
Not at all
2
3
4
5
Perfectly