P6 space physics Flashcards

(20 cards)

1
Q

what does the solar system contain

A

one star: the sun
8 planets:
- mercury, venus, earth, mars, jupiter, saturn, uranus, neptune
minor planets that orbit the sun
- dwarf planets eg pluto
- asteroids in asteroid belt
moons that orbit planets

How well did you know this?
1
Not at all
2
3
4
5
Perfectly
2
Q

how to memorise order of planets in solar system

A

My Very Early Morning Jam Sandwich, Unbelievably Nice

Mercury
Venus
Earth
Mars
Jupiter
Saturn
Uranus
Neptune

How well did you know this?
1
Not at all
2
3
4
5
Perfectly
3
Q

what is the closest star to the earth

A

the sun

How well did you know this?
1
Not at all
2
3
4
5
Perfectly
4
Q

how can astronomical distances be measured

A

light-years

How well did you know this?
1
Not at all
2
3
4
5
Perfectly
5
Q

what is a light-year

A
  • distance travelled in (the vacuum of) space
  • in one year
How well did you know this?
1
Not at all
2
3
4
5
Perfectly
6
Q

why do the planets orbit the sun

A

contains most of mass of solar system

How well did you know this?
1
Not at all
2
3
4
5
Perfectly
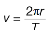
7
Q

orbital speed equation

A
How well did you know this?
1
Not at all
2
3
4
5
Perfectly
8
Q

what is the cause of the force that keeps an object in orbit around the sun

A

gravitational attraction of the sun

How well did you know this?
1
Not at all
2
3
4
5
Perfectly
9
Q

how does suns gravitational field change as distance from sun increases

A

decreases

How well did you know this?
1
Not at all
2
3
4
5
Perfectly
10
Q

describe the sun

A
  • star of medium size
  • consists mostly of hydrogen and helium
  • radiates most of its energy in IR, visible, UV regions of EM spectrum
How well did you know this?
1
Not at all
2
3
4
5
Perfectly
11
Q

how are stars powered

A
  • nuclear reactions that release energy
  • involve fusion of hydrogen into helium
How well did you know this?
1
Not at all
2
3
4
5
Perfectly
12
Q

how are stable stars formed

A
  • formed as protostars
  • from interstellar clouds of gas and dust
  • due to gravitational attraction
How well did you know this?
1
Not at all
2
3
4
5
Perfectly
13
Q

stages of life cycle of small mass star

A
  • interstellar clouds of gas and dust
  • protostar
  • red giant
  • white dwarf + planetary nebula
How well did you know this?
1
Not at all
2
3
4
5
Perfectly
14
Q

stages of life cycle of large mass star

A
  • interstellar clouds of gas and dust
  • protostar
  • red supergiant
  • supernova
  • neutron star
How well did you know this?
1
Not at all
2
3
4
5
Perfectly
15
Q

stages of life cycle of very large mass star

A
  • interstellar clouds of gas and dust
  • protostar
  • red supergiant
  • supernova
  • black hole
How well did you know this?
1
Not at all
2
3
4
5
Perfectly
16
Q

what are galaxies made up of

A

billions of stars

17
Q

which galaxy is the sun in

18
Q

approx diameter of milky way

A

100 000 light-years approx

19
Q

how is the big bang theory supported

A

by many astronomical observations

20
Q

explain the big bang theory

A
  • universe expanding from single point of high density and temperature
  • universe is still expanding
  • universe is approx 13.8 bn years old