Pedigree Practice Examples Flashcards

(16 cards)

1
Q
A

X-linked Dominant

How well did you know this?
1
Not at all
2
3
4
5
Perfectly
2
Q
A

X-linked with male lethality

How well did you know this?
1
Not at all
2
3
4
5
Perfectly
3
Q
A

Mitochondrial Inheritance

How well did you know this?
1
Not at all
2
3
4
5
Perfectly
4
Q
A

Autosomal Dominant with reduced penetrance

(low penetrance often complicates autosomal dominant inheritance)

How well did you know this?
1
Not at all
2
3
4
5
Perfectly
5
Q
A

Autosomal Dominant

How well did you know this?
1
Not at all
2
3
4
5
Perfectly
6
Q
A

Autosomal Dominant

How well did you know this?
1
Not at all
2
3
4
5
Perfectly
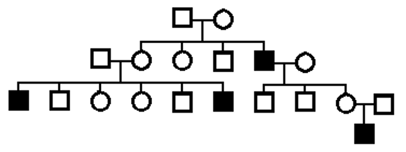
7
Q
A

Autosomal Recessive

How well did you know this?
1
Not at all
2
3
4
5
Perfectly
8
Q
A

Autosomal Dominant

How well did you know this?
1
Not at all
2
3
4
5
Perfectly
9
Q

Most probable mode of inheritance?

A

Autosomal Recessive

(males and females equally affected, father-son transmission of affected recessive allele)

How well did you know this?
1
Not at all
2
3
4
5
Perfectly
10
Q
A

Autosomal Dominant

How well did you know this?
1
Not at all
2
3
4
5
Perfectly
11
Q
A

Autosomal Recessive

How well did you know this?
1
Not at all
2
3
4
5
Perfectly
12
Q
A

Autosomal Dominant

How well did you know this?
1
Not at all
2
3
4
5
Perfectly
13
Q

Which persons are carriers?

Which person introduced a second mutant allele into the family?

Is person 58 carrying the mutation?

A

Carriers: 1,4,15,17,19,20,23,30,40,44,51

Person introducing second mutant allele: 30 (tricky. 31 being an unaffected male means he cannot be a carrier)

Person 58: Probably not carrying (parent, 52, is not related to rest of family)

How well did you know this?
1
Not at all
2
3
4
5
Perfectly
14
Q
A

X-linked Recessive

How well did you know this?
1
Not at all
2
3
4
5
Perfectly
15
Q

Most probable mode of inheritance?

A

X-linked recessive

How well did you know this?
1
Not at all
2
3
4
5
Perfectly
16
Q
A

X-linked Recessive