PETRI NETS Flashcards

(15 cards)

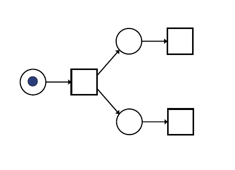
1
Q

Zeichne Causality

A
How well did you know this?
1
Not at all
2
3
4
5
Perfectly
2
Q

Zeichne Parallelism

A
How well did you know this?
1
Not at all
2
3
4
5
Perfectly
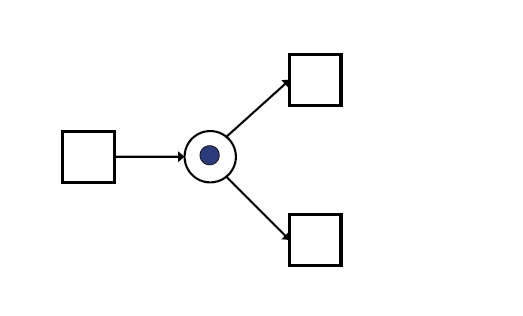
3
Q

Zeichne Parallelism AND-split

A
How well did you know this?
1
Not at all
2
3
4
5
Perfectly
4
Q

Zeichne Choice: XOR-split

A
How well did you know this?
1
Not at all
2
3
4
5
Perfectly
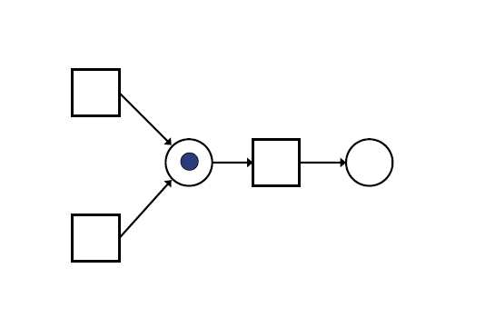
5
Q

Zeichne Parallelism AND-join

A
How well did you know this?
1
Not at all
2
3
4
5
Perfectly
6
Q

Zeichne Choice: XOR-join

A
How well did you know this?
1
Not at all
2
3
4
5
Perfectly
7
Q

Zeichne Iteration: One or More Times

A

Gelb markierter Prozess der wiederholt wird oder beendet wird

How well did you know this?
1
Not at all
2
3
4
5
Perfectly
8
Q

Zeichne Zero or More Times

A
How well did you know this?
1
Not at all
2
3
4
5
Perfectly
9
Q

Zeichne Mutual Exclusion

A
How well did you know this?
1
Not at all
2
3
4
5
Perfectly
10
Q

Zeichne Alternating

A
How well did you know this?
1
Not at all
2
3
4
5
Perfectly
11
Q

Können Transitionen gleichzeitig feuern?

A

Ja, wenn sie nicht um dieselben Token konkurrieren

How well did you know this?
1
Not at all
2
3
4
5
Perfectly
12
Q

Wann gilt eine Transition als enabled?

A

Wenn alle Input Places mindestens ein Token enthalten

How well did you know this?
1
Not at all
2
3
4
5
Perfectly
13
Q

Was passiert wenn eine Transition feuert?

A

Verbraucht Token von einem Place und produziert eins für das andere

How well did you know this?
1
Not at all
2
3
4
5
Perfectly
14
Q

Welche States gibt es?

4 Stück

A

Initial State: Initial distribution of tokens
Reachable state: Reachable from initial state
Final state (dead state): No transition is enabled
Home state: It is always possible to
return to it

How well did you know this?
1
Not at all
2
3
4
5
Perfectly
15
Q

Kann sich die Gesamtanzahl der Token ändern?

A

Ja.

Beispiel: Eine Transition nimmt 2 Tokens aus einer Stelle und erzeugt 1 Token in einer anderen → Gesamtzahl sinkt um 1.

How well did you know this?
1
Not at all
2
3
4
5
Perfectly