Current equation
I=Q/T in amperes(C/s)
Emf
Electromotive force - “pressure to move” or the difference in potential (voltage) between 2 terminals
Kirchoffs junction rule
I into the junction = I leaving the junction
Kirchhoffs loop rule
For a closed circuit loop, sum of the voltage sources=sum of voltage(potential) drops cuz conservation of energy!
vectors
physical quantities with both magnitude and direction (force, velocity)
scalars
physical quantities with magnitude no direction (mass, speed)
Displacement
change in position that goes in a straight-line path from the initial position to the final position, independent of the path taken
average velocity
x/t (m/s)
acceleration
rate of change of an object’s velocity v/t (m/s^2)
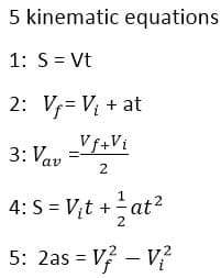
kinematic equations

projectile motion - vertical component =
-horizontal component =
= v sin theta
= v cos theta
static friction (and equation)
force must be overcome to set an object in motion
kinetic friction (and equation)
opposes motion of objects moving relative to each other

Newton’s first law
law of inertia - body in a state of motion or at rest will remain in that state unless acted upon by a net force
Newton’s second law
when a net force is applied to a body of mass m, the body will be accelerated in the same direction as the force applied to the mass
F=ma (N or kgm/s^2)
If a person in a hot air balloon is falling downwards and the F(gravity) > F(drag) then
person is accelerating downward
If a person in a hot air balloon is falling downward and the F(gravity) = F(drag) then
person is traveling at constant velocity
Newton’s third law
If body A exerts a force on body B, then B will exert a force back onto A that is equal in magnitude, but opposite in direction
Fb = - Fa
Newton’s law of gravitation (equation)
all forms of matter experience an attractive force to other forms of matter in the universe

mass vs weight
mass - scalar, measures inertia
weight - vector, measures body’s gravitational attraction to the earth (Fg = mg)
first condition of equilibrium
an object is in translational equilibrium when the sum of forces pushing it one direction is counterbalanced by the sum of forces acting in the opposite direction
sum F =0
Work
constant force acting on an object that moves a displacement of d
W=Fdcos(theta) in Nm
For a force perpendicular to displacement, W=?
0
For an expanding piston, if W>0
work is done by the system