Population genetics Flashcards

(58 cards)

1
Q

Objectives

A
  • To understand the development of the human species and its diversification across the world
  • Through an understanding of human genetics in these populations, appreciate naturally occurring genetic differences among humans
  • Understand the evolutionary forces that determine and change that composition
  • Gain an understanding of population genetic theory relevant to DNA profile evidence
How well did you know this?
1
Not at all
2
3
4
5
Perfectly
2
Q

Timelines (dont need to know just to be aware)

A
How well did you know this?
1
Not at all
2
3
4
5
Perfectly
3
Q

What are the different sources of information for ancient populations?

A
  • Rocks
    o 4000 Mya
  • Fossils – rare
    o 7 Mya
  • Archaeological artefacts – tools, pots, ornaments
    o 2.5 Mya
  • Ice core – isotopes and gases
    o 1 Mya
  • DNA – ancient DNA and living genomes
    o 200 Kya
  • Languages
    o 3 Kya
How well did you know this?
1
Not at all
2
3
4
5
Perfectly
4
Q

What are some of the issues of gathering DNA from fossils?

A
  • Availability of material limited
  • Difficulties of analysis
How well did you know this?
1
Not at all
2
3
4
5
Perfectly
5
Q

What are some of the strategies for getting DNA from fossils?

A

o Proteomic analysis (Mass Spectrometry- used more recently)
o Prevent modern contamination
o Detect and quantify modern contamination
o Consistency with ancient DNA
o Reproducibility

How well did you know this?
1
Not at all
2
3
4
5
Perfectly
6
Q

What are pre-modern humans known as?

A

**Homo erectus **

How well did you know this?
1
Not at all
2
3
4
5
Perfectly
7
Q

What are some potential archaic movements between 1.9-1.2 Mya?

A
  • Earliest hominids seen in eastern part of Africa where they spread from there. Moved due to food, fertile ground, etc.
  • Nevertheless, most people agree that there was an exodus from Africa of homo erectus type species to occupy much of the rest of the old world from East African about 1.9 MYA using two different routes – up the Nile Valley into Israel and also across the Red Sea into the Arabian Peninsula, arriving in SE Asia about 1.7MYA (with the appearance of Java Man) but not arriving in Europe until 1.2 MYA
How well did you know this?
1
Not at all
2
3
4
5
Perfectly
8
Q

What are the 4 different origin models?

A

A - Out of Africa- Homo erectus starts in Africa and continues with some development over time. When Homo erectus moved into these different continents they die out and a new species then develops which later forms Homo sapiens. This theory has more favour than D but still doesn’t answer all the questions

B – Metapopulation model (fission, fusion, gene flow, local extinction)- Homo sapiens develop but Homo erectus influence homo sapiens through development of their own

**C – trellis theory- **The idea that there was an exchange of material between continents

D – pure multiregional hypothesis- start in Africa then eventually move into the other continents. They all develop independently of each other in each location

How well did you know this?
1
Not at all
2
3
4
5
Perfectly
9
Q

What is some support for the ‘Out of Africa’ replacement hypothesis?

A

* Multiregional model – Homo erectus to Homo sapiens occurring in different places at different times – requires extensive gene flow

* Genetic diversity higher in Africa
o This suggests there is a longer evolution / larger population

* MtDNA and Y phylogenies have root in Africa
o MtDNA 160 KYA (mitochondrial eve which was the ‘first’ woman is what it is dated back to)

o Y chromosome 140 KYA – 500 KYA
* Human anatomical features 130 KYA Africa / 50 KYA rest of World
* neandertals and Denisovans were prior to modern human development and the red lines show the % linkage between these populations

How well did you know this?
1
Not at all
2
3
4
5
Perfectly
10
Q

Tell me about European spread

A
  • 40 Kya – little influence as before the last ice age 11Kya
  • 6 Kya mass migration of farmers (orange) from fertile crescent mixing with Neolithic hunter-gatherers (blue)
  • Structure plot 4.5 – 3 Kya
  • Established view – also that they spread the Indo-European languages

Bronze age- Yamanaya Herders 2 Kya
* Steppe pastoralists- herders, travelled on horse so could travel long distances

How well did you know this?
1
Not at all
2
3
4
5
Perfectly
11
Q

As forensic scientists what do we learn from both the modern and ancient population genetics?

A
How well did you know this?
1
Not at all
2
3
4
5
Perfectly
12
Q

How is DNA inherited?

A
  • Individuals inherit half their DNA from one parent and one from the other
    * RECOMBINATION produces new DNA strings by combining the two parental strings
    o Each of our chromosomes is a mosaic of those from our parents
  • Chromosome sequences are very similar
    o About 1 per 1000 bases differs between pairs of chromosomes
How well did you know this?
1
Not at all
2
3
4
5
Perfectly
13
Q

What is in our DNA?

A

* Genes – less than 2% of total DNA
o Approx. 35,000 in humans
o As forensic scientists we don’t have to look at these due to privacy reasons

* Pseudogenes
o Ancient genes that have lost their coding ability
o Arisen because of multiple mutations within a gene whose product is not required for survival

* Promotors and enhancers
o Sequences that control gene expression

* Repeat DNA
o Packaging and spacer sequences
o Separate genes
o What forensic science really focuses on
**
* NUMTS (nuclear mitochondrial DNA)**
o Fragments of mitochondrial genomes inserted into eukaryotic genomes

How well did you know this?
1
Not at all
2
3
4
5
Perfectly
14
Q

How does variability occur between humans?
Why is this often a complex topic?

A
  • There are noticeable differences between people
    o Difference in phenotype
    o Due to difference in genotype
  • Gender, height, weight, skin colour, eye colour, hair colour, age
  • Often complex
    o Can be due to genetic / environmental / variable developmental and molecular processes / human intervention
  • Vitamin D is the key to skin colour as it is essential, too much leads to cancer and too little can make someone infertile so races are primarily due to vitamin D levels. different mutations between Europe and Asia for e.g., in skin colour
How well did you know this?
1
Not at all
2
3
4
5
Perfectly
15
Q

Provide the definition for the following:
**Allele
Polymorphism
Mutation
Allele frequency **

A

* Allele
o One of several different forms at the same locus

* Polymorphism
o Two or more alleles of a gene or other DNA sequence in a population

* Mutation
o A variant allele that occurs in less than 1 percent of the population

* Allele frequency
o The proportion or frequencies of each allele in a genetic population

How well did you know this?
1
Not at all
2
3
4
5
Perfectly
16
Q

Nomenclature

A
How well did you know this?
1
Not at all
2
3
4
5
Perfectly
17
Q

Phenotype and genotype frequencies

A
How well did you know this?
1
Not at all
2
3
4
5
Perfectly
18
Q

Genotype frequencies to allele frequencies

A
How well did you know this?
1
Not at all
2
3
4
5
Perfectly
19
Q

Hardy Weinburg equation

A
How well did you know this?
1
Not at all
2
3
4
5
Perfectly
20
Q

Dominant and recessive phenotypes

A
  • Phenotype does NOT reveal the genotype
  • Black sheep – gene for black wool is a recessive gene

o White/White genotype
 White phenotype

o White/Black genotypes
 White phenotype

o Black/Black genotype
 Black phenotype

  • How many are heterozygotic?
How well did you know this?
1
Not at all
2
3
4
5
Perfectly
21
Q

White sheep- what percentage have black genes?

A
  • Phenotype is black or white
  • Black is recessive
  • What % of the sheep are heterozygotes?
    o 4/16 (black) = 0.25 = q2
    o q = 0.5
    o p = 1-0.5 = 0.5
    o 2pq = 2 x 0.5 x 0.5 = 0.5 = 50%
How well did you know this?
1
Not at all
2
3
4
5
Perfectly
22
Q

Cystic Fibrosis is an
* Autosomal recessive condition
* Prevalence 1 in 2500
* How many people are carriers?

A
  • Autosomal recessive condition
  • Prevalence 1 in 2500
  • How many people are carriers?
    o Freq(CF/CF) = q2
    o q = 0.0004 = 0.02
    o Freq(N/N) = p2
    o p = 1-q = 0.98
    o Freq(CF/N) carrier – 2pq = 2x0.98x0.02
    o =0.0392 = 1 in 26 individuals are carriers
How well did you know this?
1
Not at all
2
3
4
5
Perfectly
23
Q

Spotted moths

A
  • Moth spotting is controlled by a single gene with two codominant alleles: W and B
  • Spotted moths have 3 phenotypes – white spotted (WW), grey spotted (WB), black spotted (BB)
  • A population census recorded 22 white, 216 grey and 492 black moths
  • What is the frequency of the W allele?
How well did you know this?
1
Not at all
2
3
4
5
Perfectly
24
Q

What does the HWE assume?

A

*** Assuming **
o mating is random- this assumption is incorrect
o large population size- large population but isn’t infinite
o effects of migration, mutation, selection are negligible- are in some situations but not others
we don’t meet the HWE frequently

*** Then **
o allele and genotype frequencies will remain constant from generation to generation

* NOTE that you cannot use HWE to convert between frequencies if your population is NOT in HWE

25
Hardy Weinburg disequilibrium Populations may not always be in HWE because of factors changing genotype or allele frequencies such as; **o Genetic drift and gene flow o Non-random mating o Natural selection o Mutations** * Frequencies of blood group phenotypes very different, but are they in HWE?
26
What is the importance of HWE in forensic science?
Principle for match probabilities when using STRs o Used to predict number of people in population sharing genotype o HWE never strictly true but holds for most human populations across most loci
27
The importance of significant deviation with HWE in forensics and what is the possible cause for this deviation?
**Significant deviation –** some type of evolutionary process affecting locus is likely reason o Note that if lots of loci are tested you would expect that 1/20 by will show a significant deviation by chance alone **What is the possible cause?** o Data error or chance finding is more likely
28
How can we test for HWE to validate the use of a population database?
* Allele frequency database is used to predict the frequency of a particular genotype seen in a crime stain o relies on HWE being true * By chance expect some slight difference between predicted and observed frequencies due to random sampling errors o Need to confirm that there is not a significant deviation from HWE * Agreement between observed and predicted numbers is evaluated for goodness of fit by the **Chi square (χ2) statistical test**
29
An exmaple of using the Chi squared test
30
Applying the product rule, independent events
How many people would be expected show this profile? HWE can be assumed *** D3 15/16** o (f15 = 0.2564; f16=0.2806) (Caucasian) o 2pq = (2x0.2564x0.2896) = 0.1485 *** VWA 17/17** o (f17 = 0.2621) o p2 = (0.2621x0.2621) = 0.0687 *** TH01 9/9.3 ** o (f9 = 0.1443; f9.3 = 0.3072) o 2pq = (2x0.1443x0.3072) =0.0887 * Applying the product rule o **0.1485 x 0.0687 x 0.0887 = 0.0009 o Or 1 in 1111 (1/0.0009) unrelated individuals in the Caucasian population would also have these types**
31
What are some factors affecting genetic variation and the subfactors
32
What are some factors for increased diversity?
Mutation and recombination
33
How does mutation increase diversity?
* **Mutation –** primary generator of genetic variation if within germline * Does not cause large changes in HWE o Could change frequency from 1 to .998 * Mutation rate generally low – depends on surrounding sequence o 2 per base per 100 million generations o μ=2x10-9 assuming 20-year generations o MtDNA control region μ=4x10-6  275bp HVI – one variation in 20,000 years o STR μ=2x10-3 * 128 mutations per individual * Individual alleles will decrease in frequency because there are more alleles
34
How does recombination increase diversity?
Sexual reproduction results in meiotic recombination o Generates new combinations of alleles (haplotypes) on same chromosome pair o Diversity will be increased o Enables populations to adapt to their environment by combining advantageous alleles o Fast way to assemble the fittest genotype
35
What are the effects of a lack of recombination?
* Asexual reproduction can accumulate beneficial alleles only one at a time * At same time organism accumulates deleterious alleles * May explain why few functional genes on non-recombining area of Y chromosome
36
What is the linkage equilibrium and what does it assume?
* Assume two loci on one chromosome * Each has two alleles **Aa **or **Bb** * If the alleles at each locus are inherited independently then the chance of finding allele **a and b** together on the chromosome is the **product** of their relative frequencies * The loci are in linkage equilibrium
37
What is linkage disequilibrium (LD)?
* Tendency for alleles at loci close on a chromosome to pass together down the generations, because recombination rarely occurs * Theoretically LD tends to LE over time in population of infinite size as eventually all close alleles will be separated through recombination * LD decay used as a measure of increasing diversity due to recombination * Forensic loci chosen so that linkage is negligible in autosomes in unrelated individuals
38
What is a factor which decreases diversity?
Genetic drift
39
How does genetic drift decrease diversity?
* Random change in allele frequencies across generation o Population of 10 with blue and green alleles randomly double to produce 10 copies. Frequency of the blue allele – 0.5 o Binomial theorem predicts blue copies with mean 5, sd = 1.6 o If, by chance, 2nd generation blue = 7 then third generation predicts blue copes with mean 7, sd = 1.4 o Number of blue individuals shows drift and eventually there will be fixation at blue, or green * Drift inversely proportional to population size
40
Population drift illustration
41
What is the Wright-Fisher Model of population drift?
* The smaller the effective population size, the greater the drift * BUT o Generations overlap o Populations not constant in size o Not random mating * Genetic drift leads to fixation and elimination of new alleles o Evident in some snps o Model can predict time to fixation
42
What is meant by fixation and what is the average time to fixation in generations?
43
Tell me about population size variation
44
What is another factor which can decrease diversity and explain how
**Non-random mating** * Isolated sub-populations * Mate choice o Relatedness o Assortative mating  Culture  Socio-economic  Physical
45
Diversity can be manipulated via selection, explain how
* Selection influences fitness of an individual genotype to survive and reproduce * Can reduce variation by eliminating deleterious alleles **o Lactose intolerance**
46
Explain what is meant by balanced selection models
Fitness leads to balanced selection, maintaining diversity *** Heterozygote advantage** o Immune response – MHC variation o Sickle cell allele deleterious but gives significant survival over malaria *** Frequency dependent** o Rare type has advantage over common type o Dynamic process o Maintenance of 50:50 sex ratio  Rare sex becomes fitter as always able to mate o Left handedness more common in males engaging in interactive sports  Male-male fighting advantage
47
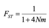
Diversity can also be manipulated via migration, explain how
* Only changes allele frequencies within a sub-population * Diversity measured through **FST ** * **The greater migration (m), the lower FST**, and the lower diversity will be within a sub-population * Migration tends to homogenize differences between populations
48
What is meant by **Patrilocality and Matrilocality** What does this influence?
* Differential movement of men or women * **Patrilocality –** women move to where men live – area shows higher MtDNA diversity * **Matrilocality – **men move to where women live – areas show higher Y chromosome diversity * Social behaviours influence genetic diversity
49
What is their evolutionary interplay between?
*** Migration drift equilibrium** o Opposing forces of migration and genetic drift lead to constant FST over time *** Recombination drift equilibrium** o Recombination generates new haplotypes and genetic drift removes them o LD can reach an equilibrium theoretically o LD greatly affected by selection, mutation, and demography *** Mutation drift equilibrium**
50
What are some other social factors which can influence diversity?
Immigration Sport etc
51
Who do you think you are?
* We inherit DNA from our recent ancestors in large random chunks o Contribution from a particular ancestor can be nil after a handful of generations o High probability that we have not inherited DNA from a specific ancestor more than ten generations ago o Most of us have no DNA from an ancestor who lived just a few hundred years ago
52
Our genealogical ancestors are not necessaily our genetic ancestors
53
Who do you think you are?
* We all share common ancestors remarkably recently * Someone living 3-5 thousand years ago (Bronze age) is common ancestor of everyone alive today * Just a few thousand year’s earlier we all share the same set of ancestors * Common ancestry dates will be more recent for those who are less distant – on the same continent
54
Elizabeth Warren
* Accused of claiming Native American ancestry to further her legal career * Challenged by Trump to undertake a DNA test * Test supported ancestry 6-10 generations ago * 1/1024 – Trump says this is less than the average US citizen (1 in 555) * BUT o Comparative data very limited and not representative of population o Significant ancestry from Europe in Native Americans o Significant sharing with East Asia o Any true Native American ancestry could be lost – (genetic washout) or over emphasised o Native American ancestry more likely to be lost because of segregation policies (tribal settlements) in US
55
Different company tests: what does it mean?
56
Global predictions from root populations
57
Genetic genealogy is used in criminal justice Give and example of when this was used?
**Golden state killer and others ** * Across genome SNPs test of semen * Information put on GEDmatch o Free genealogy site to link many US based genealogy posts o 3rd cousin link reported – many names o Family trees investigated to find likely suspects –age, sex, geography in relation to crime o Surrogate references from suspects to verify match o John Joseph DeAngelo charged with eight murders
58
What are some concerns regarding genetic genealogy and its use in the criminal justice system?
* Powerful in the implication of mainly white US Americans in cold cases as predominant individuals in genealogy sites * Technique needs large amounts of high-quality DNA * Unregulated – no governance – dangers of manipulation * Power of UK DNA database and small number of identified relatives in UK in comparison means probably not so helpful here * Considered unethical across most of Europe / illegal in Germany – reveals private genetic information * 60% if US individuals could be identified even if they have not been tested * 24 hours to identify female who gave DNA anonymously to a biobank