Practice Questions - Tutorial Questions - Week 7 Flashcards

(13 cards)

1
Q

Which of the following describes the relationship between the straight chain forms
of D-glucose and D-galactose?

a) They are L- and D-enantiomers
b) They are epimers
c) They are anomers
d) They are constitutional isomers

A

b)

How well did you know this?
1
Not at all
2
3
4
5
Perfectly
2
Q

Which of the following molecules is a furanose in its cyclical form?

a) Mannose
b) Sucrose
c) Lactose
d) Fructose

A

d)

How well did you know this?
1
Not at all
2
3
4
5
Perfectly
3
Q

The straight chain form of glucose differs from the straight chain form of fructose in which of the following ways?

a) Saturation
b) Number of carbon atoms
c) They are anomers
d) Number of hydroxyl groups
e) Type of carbonyl functional group

A

e)

How well did you know this?
1
Not at all
2
3
4
5
Perfectly
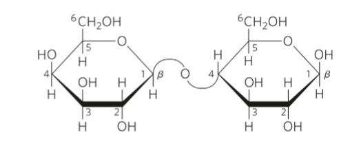
4
Q

The following disaccharide:

a) Does it have a reducing end?
b) What type of glycosidic bond it has?
c) Is it made of two molecules of beta-D-glucose?

A

a) yes

b) (Beta 1,4)

c) No, C4 is different. This molecule is
lactose, which is made of beta-D-galactose and beta-D-glucose

How well did you know this?
1
Not at all
2
3
4
5
Perfectly
5
Q

Which property is shared by Amylopectin and cellulose?

a) Both are composed of D-glucose units
b) Both are heteropolysaccharides
c) Both contain negatively charged groups
d) Both are branched structure

A

a)

How well did you know this?
1
Not at all
2
3
4
5
Perfectly
6
Q

Which property differs between amylose and cellulose?

a) the monosaccharide components
b) the orientation of the glycosidic bonds
c) the degree of branching
d) the carbons linked by the glycosidic bonds

A

b)

How well did you know this?
1
Not at all
2
3
4
5
Perfectly
7
Q

Which characteristic distinguishes amylopectin and glycogen?

a) Types of glycosidic bonds
b) The degree of branching
c) Only amylopectin can form hydrogen bonds
d) Only glycogen has a coiled shape

A

b)

How well did you know this?
1
Not at all
2
3
4
5
Perfectly
8
Q

Which is true about glycoproteins:

a) They are lipids linked to proteins and oligosaccharide chains
b) They are carbohydrates with proteins attached to them
c) They are exposed at the cell surface of cells
d) They are proteins covalently linked to oligosaccharides chains

A

c) d)

How well did you know this?
1
Not at all
2
3
4
5
Perfectly
9
Q

Polynucleotide chains have a 5’ & 3’ end. Which groups are found at each of these ends?

a) 5’ sugar, 3’ phosphate
b) 3’ OH, 5’phosphate
c) 3’ base, 5’phosphate
d) 5’phosphate, 3’ OH

A

d)

How well did you know this?
1
Not at all
2
3
4
5
Perfectly
10
Q

Fill in the spaces
The polynucleotide chain is formed by connecting nucleotides via ________________. DNA is formed by two complementary ____________ strands connected via _________.
Base pairing in DNA is very specific and joins one purine and one pyrimidine: A-T & G-C.
These have different strength because _________________________________________

A

Phosphodiester bonds

Antiparallel

H-bonds

they have different number of H-bonds: G-C is
stronger because involves 3 H-bonds, A-T binding involves 2 H-bonds.

How well did you know this?
1
Not at all
2
3
4
5
Perfectly
11
Q

During transcription, the information encoded in ________ in ______ is copied into a precursor messenger pre-mRNA.

The pre-mRNA transcripts contain non-coding RNA (_________) and coding RNA (_______) and is processed into _________ mRNA.

After RNA splicing, mature mRNA leaves the nucleus and binds to ___________, a particle
made of proteins and rRNA, which is located in the cytoplasm.

During ____________, mature mRNA is converted into an amino acid sequence.

Translation is initiated when mRNA and _______, a molecule that contains an anticodon loop and carries the corresponding amino acid, bind to the ribosome.

A

a gene

DNA

introns

exons

mature

a ribosome

translation

tRNA

How well did you know this?
1
Not at all
2
3
4
5
Perfectly
12
Q

The peptide with the sequence:

Gly-Cys-Arg-Arg-Leu-Cys-Tyr-Lys-Gln-Arg-Cys-Val-Thr-Tyr-Cys-Arg-Gly-Lys-Arg

a. How many peptide bonds it has?

b. What is its charge at physiological pH?

c. How many disulfide bonds can form? Why?

A

a) It has 19 AA residues; therefore, it has 18
peptide bonds

b) (2x Lys + 5 x Arg) = +7; overall charge
is +7

c) 2 disulfide bonds, because it has
4 cysteines (Cys).

How well did you know this?
1
Not at all
2
3
4
5
Perfectly
13
Q

The protein LDH-5 is a homotetramer made of 4 subunits and its structure is shown
below. Complete the sentences or answer the questions below.

a) This protein has quaternary structure because ………

b) The isoelectric point (pI) of this protein is 7.9. What does that mean?

c) At pH 5, is this protein positive or negative? Why?

d) Looking at the overall 3D shape of LDH, is this protein fibrous, or globular?

e) What is the most common type of secondary structure in this protein?

A

a) It is a multi-subunit protein composed of more than one polypeptide

b) It means that the overall charge of this protein is zero, when pH = 7.9

c) This protein is positively-charged at pH 5, because this pH is below pI; pH < pI the protein is more protonated and is positively-charged
pH > pI, the protein is negatively-charged
pH = pI, the protein is neutral

d) Globular

e) Alpha-helix

How well did you know this?
1
Not at all
2
3
4
5
Perfectly