Tutorial Practice Questions - Week 1 Flashcards

(24 cards)

1
Q

Each statement below refers to a type of chemical bond, identify which one.

A) A hydrogen atom with a slight positive charge is attracted to a negative charge of
another molecule or atom.
B) Two atoms share electrons so they can fill their outer shells.
C) The constant motion of electrons and the creation of charge imbalances can bond
two molecules/groups together.
D) One atom loses one or more electrons and the other atom gains one or more
electrons.

A

a) H-bond

b) covalent bond

c) van der Waals interactions

d) Ionic bond

How well did you know this?
1
Not at all
2
3
4
5
Perfectly
2
Q

What is the main reason for atoms to form ions?

A) To develop a positive charge
B) To fill their outer electron shells
C) To bond with other elements
D) To create a negative charge

A

B

How well did you know this?
1
Not at all
2
3
4
5
Perfectly
3
Q

Which of the following has the weakest bond strength?

A) Hydrogen bonds
B) Non-polar covalent bond
C) Polar-covalent bond
D) Ionic bonds

A

A

How well did you know this?
1
Not at all
2
3
4
5
Perfectly
4
Q

Balance the chemical equations

Mg + HCl –> MgCl2 + H2

A

Mg + 2HCl –> MgCl2 + H2

How well did you know this?
1
Not at all
2
3
4
5
Perfectly
5
Q

Balance the chemical equations

C2H6O + O2 –> CO2 + H2O

A

C2H6O + 3O2 –> 2CO2 + 3H2O

How well did you know this?
1
Not at all
2
3
4
5
Perfectly
6
Q

Balance the chemical equations

NH4NO3 –> N2O + H2O

A

NH4NO3 –> N2O + 2H2O

How well did you know this?
1
Not at all
2
3
4
5
Perfectly
7
Q

Balance the chemical equations

C6H12O6 + O2 –> CO2 + H2O

A

C6H12O6 + 6O2 –> 6CO2 + 6H2O

How well did you know this?
1
Not at all
2
3
4
5
Perfectly
8
Q

Which functional groups are present in the molecules below:

A

-OH, -NH3+,-COO-, -CH3

How well did you know this?
1
Not at all
2
3
4
5
Perfectly
9
Q

Which functional groups are present in the molecules below:

A

3 x -OH

How well did you know this?
1
Not at all
2
3
4
5
Perfectly
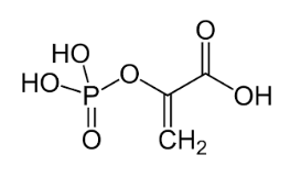
10
Q

Which functional groups are present in the molecules below:

A

-OPO3, -COOH

How well did you know this?
1
Not at all
2
3
4
5
Perfectly
11
Q

List functional groups

A

OH, NH2

How well did you know this?
1
Not at all
2
3
4
5
Perfectly
12
Q

Are these molecules soluble in water? Why?

A

Yes, they all can establish H-bonds with water.

How well did you know this?
1
Not at all
2
3
4
5
Perfectly
13
Q

In the molecules below, which groups can be H-bond donors and which can be H-bonds
acceptors

A

NH3+: H donor

OH: H donor and acceptor

COO-: acceptor

How well did you know this?
1
Not at all
2
3
4
5
Perfectly
14
Q

In the molecules below, which groups can be H-bond donors and which can be H-bonds
acceptors

A

P=O: acceptor

OH: donor and acceptor

C=O: acceptor

How well did you know this?
1
Not at all
2
3
4
5
Perfectly
15
Q

Based on the structural formula of the following hydrocarbons, which has a double bond
in its carbon skeleton? Tip, draw the structures, and remember that carbon atoms have a
valence of 4 and should form 4 covalent bonds.

A) C3H8

B) C2H6

C) C2H4

D) C2H2

A

C) C2H4

How well did you know this?
1
Not at all
2
3
4
5
Perfectly
16
Q

Which of the molecules above has the bond with the highest strength, why?

A

C2H2 because it has a triple bond between the 2 carbons.

17
Q

Calculate the molar concentration of a 415 mL solution containing 0.745 moles of HCl

𝐶=𝑛
𝑉

A

C = 0.754 mol /0.415 L
C= 1.79 M

18
Q

Calculate the molar concentration of a solution prepared by adding 34 g of NaCl to 230
mL of H2O. The molar mass of NaCl is 54.45 g/mol.

𝐶=𝑛/𝑉

𝑛=𝑚𝑎𝑠𝑠/𝑀𝑀

A

n= 34g/ 54.45g/mol = 0.62 mol

C= 0.62 mol/0.230 L = 2.7 mol/L = 2.7 M

19
Q

convert

  1. 1000 mg to Kg
  2. 32 g to kg
  3. 0.029 kg to g
  4. 40 μg to mg
  5. 475 mL to L
  6. 350 mL to μL
  7. 3.5 mL to μL
  8. 60 μL to mL
  9. 5 μg/mL to mg/mL
  10. 5 μg/mL to mg/L
A
  1. (1g = 0.001 kg)
  2. (0.032 kg)
  3. (29 g)
  4. (0.04 mg)
  5. (0.475 L)
  6. (350,000 μL)
  7. (3500 μL)
  8. (0.060 mL)
  9. (0.005 mg/mL)
  10. (0.005 mg / 0.001 L = 5 mg/L)
20
Q

How to prepare 100 mL with 0.5 mM NaCl from a stock solution of NaCl with 5 mM?

𝐶1×𝑉1 = 𝐶2×𝑉2

A

C1 = 0.5 mM
V1 = 100 mL
C2 = 5 mM
V2 = ?

V2 = C1 x V1/ C2
V2 = 0.5 mM x 100 mL/ 5 mM = 10 mL

We need 10 mL from stock solution with 5 mM NaCl nd 90 mL of water to obtain 100 mL
with 0.5 mM NaCl.

21
Q

How to prepare 150 mL with 0.2 mg/mL NaCl from a stock solution of NaCl with 50 mM?
The molar mass of NaCl is 54.45 g/mol.

A

Convert 0.2 mg/mL NaCl to molar concentration, molar is the number of moles in 1 L of
solution

C =0.2mg/mL is equal to 0.2g/L

Calculate the number of moles in 0.2 g of NaCl
n = m/M = 0.2 g / 54.45 g/mol = 0.00367 mol

C = 0.00367 mol /L = 3.67 mmol/L

C1 = 3.67 mM
V1 = 150 mL
C2 = 50 mM
V2 = C1 x V1/ C2
V2 = 3.67 mM x 150 mL/ 50 mM = 11 mL

We 11 mL from stock with 50 mM and dilute with 139 mL of water to obtain 150 mL with
3.67 mM NaCl.

22
Q

You have 4.0 mmol/L solution of albumin (molar mass = 67,000 g/mol).
Complete the following conversions of units and calculations of concentrations and
volumes. Show your answer as a number (to 1 decimal place).

(a) _____ μmoles/mL

(b) ______ g/L

(c) ____ % (weight/volume)

(d) ____ volume (in mL) containing 50 μmoles

(e) ___ mmoles in 75 mL of this solution

A

a) 4.0 mmol = 4000 μmol
1 L = 1000 mL
4000 μmol / 1000 mL = 4 μmol/mL

b) MM (albumin) = 67000 g/mol
The volume is in L, so you need to convert 4.0 mmol into mass (g).
n = mass/MM; mass = n x MM
convert mmol in mol: 4.0 = 4 x10-3 mol
mass = 4 x10-3 mol x 67000 g/ mol = 268 g
= 268 g/L

c) % weight/volume is mass (g) in 100 mL of volume
C= 268 g/L = 26.8 g/100 mL = 26.8 %
If you need more steps:
You can first determine the mass in 100 mL (100 mL = 0.1 L)
C = mass/V; replacing the numbers in this equation:
268 g/L = mass / 0.1 L; mass = 268 g/L x 0.1 L = 26.8 g
Concentration is 26.8 g in 100 mL, which is 26.8 %

d) C= n/V; V = n/C
Replacing number of moles (n = 50 μmol) and concentration (C = 4 μmol/mL)
V = 50 μmol / 4 μmol/mL = 12.5 mL

e) C= n/V; n = C x V
Replacing concentration (C = 4 μmol/mL) and Volume (V = 75 mL)
n= 4 μmol/mL x 75 mL = 300 μmol
Convert μmol to mmol (1000 μmol = 1 mmol)
300 μmol = 0.3 mmol

23
Q

You are asked to prepare a 200 mL solution of 160 mM HCl using a stock solution of
concentrated HCl with 10.25 M. What volumes of concentrated HCl and water are required
to make this solution? Show your answer in numbers (up to 2 decimal places).

(a) ____ volume of HCl stock (in mL)

b) ____ volume of water (in mL)

A

a) This is a dilution using a more concentrated solution.
C1 xV1 = C2 xV2
C1 = 160 mM HCl; V1 = 200 mL; C2 = 10.25 M, we need to find V2 and have both
concentrations in the same unit.
Converting C1 to M: 160 mM = 0.16 M
Solving the equations above for V2: V2 = C1xV1/C2;
V2 = 0.160 M x 200 mL / 10.25 M = 3.12 mL

b) volume of water to prepare 200 mL of solution
total volume = 200 mL
Volume of water = 200 mL - 3.12 mL = 196.9 mL

24
Q

3) You need to make 1 L of 10x (ten times) stock of 1 mM NaCl. (NO decimal places are
needed)

a) What would be the final concentration (mmol/L) of this 10x stock? [x1] mM

b) b) How much 10x stock NaCl would you need if you are preparing 50 mL of working solution
(1x NaCl)? [x2] mL

c) What is the dilution factor to get your stock back to working concentration? [x3]

A

a) concentration is 10 x 1 mM NaCl = 10 mM NaCl

b) C1 xV1 = C2 xV2
C1 = 1 mM; V1 = 50 mL; C2 = 10 mM, we need to calculate V2
Solving the equations above for V2: V2 = C1xV1/C2;
V2 = 1 mM x 50 mL / 10 mM = 5 mL

c) to convert 10 mM to 1 mM the stock should be diluted 10x; therefore, the dilution factor is
10.