Pressão Flashcards

(8 cards)

1
Q

Como podemos calcular a densidade de dois líquidos misturados ?

A
How well did you know this?
1
Not at all
2
3
4
5
Perfectly
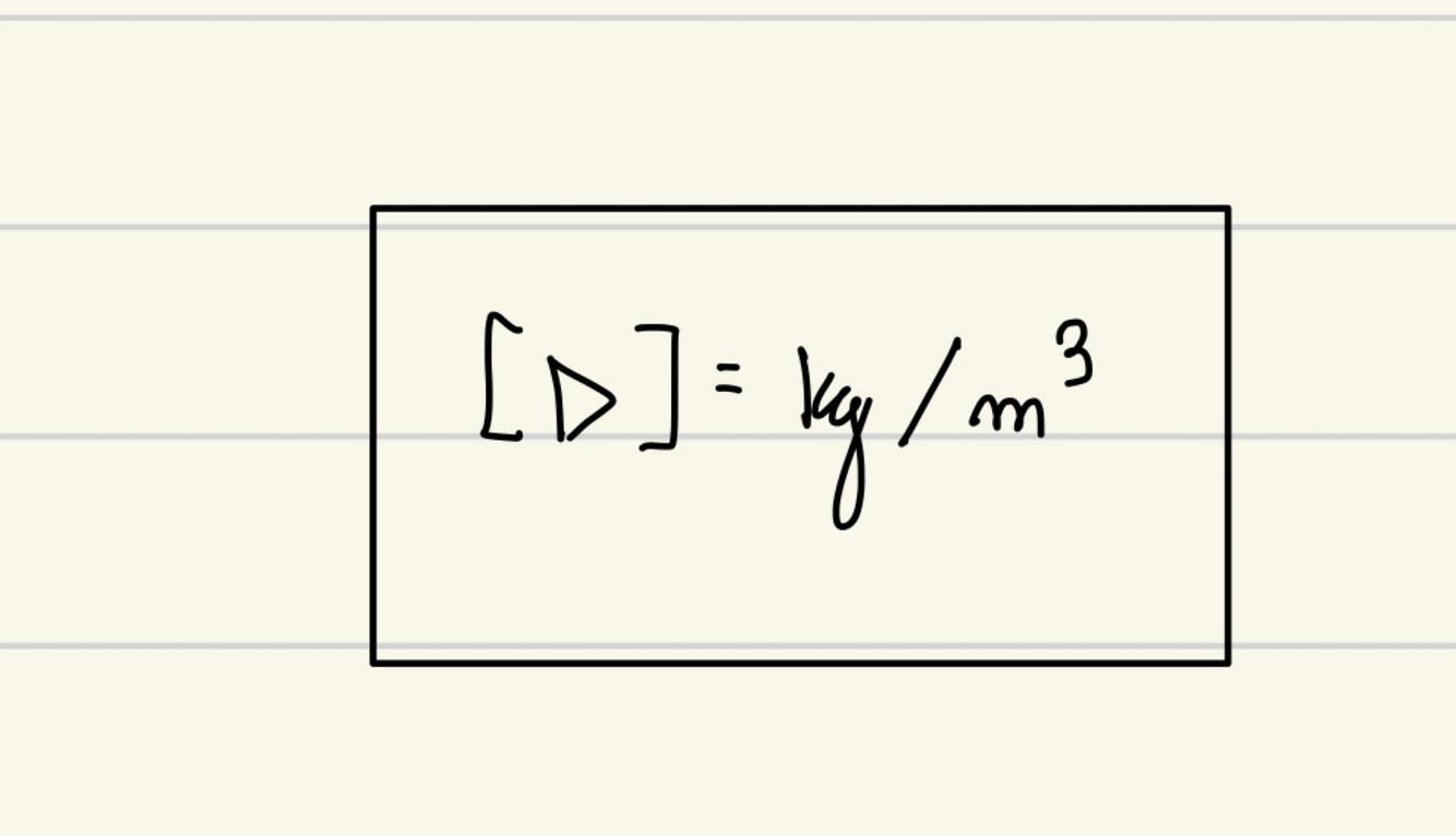
2
Q

Qual a unidade de medida da densidade no sistema Internacional ?

A
How well did you know this?
1
Not at all
2
3
4
5
Perfectly
3
Q

Qual a fórmula da pressão e a sua unidade de medida no sistema Internacional ?

A
How well did you know this?
1
Not at all
2
3
4
5
Perfectly
4
Q

Como podemos calcular a pressão monométrica ?

A

A pressão monométrica pode ser calculada pela subtração entre a pressão externa e a pressão interna.

How well did you know this?
1
Not at all
2
3
4
5
Perfectly
5
Q

Como podemos calcular a a pressão no ponto A na imagem abaixo ?

A
How well did you know this?
1
Not at all
2
3
4
5
Perfectly
6
Q

Em um sistema fechado contendo um fluido, líquido ou gás, toda variação de pressão em um ponto será sentida apenas naquele ponto ?

A

Falso, em um sistema fechado contendo um fluido, toda variação de pressão em um ponto será sentida em todos os pontos daquele sistema.

How well did you know this?
1
Not at all
2
3
4
5
Perfectly
7
Q

Qual a diferença entre densidade e massa específica ?

A

A densidade é calculada pela razão da massa de um corpo pelo volume ocupado por ele, desta forma, densidade se refere a um objeto/corpo. Já a massa específica é referente a uma substância e não a um objetivo/corpo.

How well did you know this?
1
Not at all
2
3
4
5
Perfectly
8
Q
A

Letra A.

Obs: devemos lembrar que em objetos heterogêneos, a força peso terá ponto efetivo sobre a parte de maior peso. Já o empuxo sempre terá ponto efetivo sobre a parcela central do volume submerso.

How well did you know this?
1
Not at all
2
3
4
5
Perfectly