Trabalho Flashcards

(20 cards)

1
Q

Quando usamos a fórmula abaixo para calcular o trabalho de uma força ?

A

Usamos tal fórmula para calcular o trabalho de uma força constante que desloca um corpo.

How well did you know this?
1
Not at all
2
3
4
5
Perfectly
2
Q

O trabalho é uma grandeza vetorial ?

A

Falso, o trabalho é uma grandeza escalar, pois não possui direção e nem sentido, apenas módulo.

How well did you know this?
1
Not at all
2
3
4
5
Perfectly
3
Q

Podemos dizer que o trabalho total em um sistema é a soma de todos os trabalhos ?

A

Verdadeiro.

Obs: devemos lembrar que o trabalho é uma grandeza escalar, desta forma não precisa usar vetores para fazer um soma vetorial, basta apenas somar os valores dos trabalhos envolvidos nos sistemas, sejam eles positivos ou negativos.

How well did you know this?
1
Not at all
2
3
4
5
Perfectly
4
Q

Qual fórmula podemos utilizar para calcular o trabalho da força peso em sobre um corpo ?

A

Obs: para saber se o trabalho da força peso sobre um corpo será positivo ou negativo devemos analisar o ângulo formado entre a força peso e o deslocamento do corpo. Desta forma, se o ângulo for agudo, o trabalho será positivo e se o ângulo for obtuso, o trabalho será negativo.

How well did you know this?
1
Not at all
2
3
4
5
Perfectly
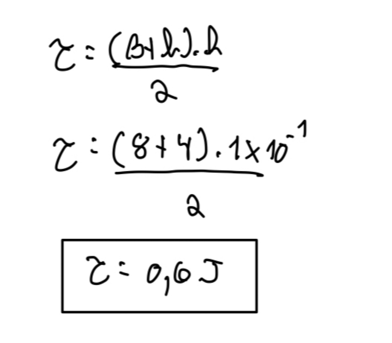
5
Q

Relacione as colunas da direita com as colunas da esquerda de acordo com o trabalho da força elástica.

A
How well did you know this?
1
Not at all
2
3
4
5
Perfectly
6
Q

Uma mola que é deformada, ou seja, sai do equilibro, terá trabalho positivo ?

A

Falso, uma mola que é deformada, ou seja, sai do equilíbrio, terá trabalho negativo.

How well did you know this?
1
Not at all
2
3
4
5
Perfectly
7
Q

Uma mola que volta para a sua situação de equilíbrio, ou seja, perde a sua deformação, terá trabalho da força elástica positivo ?

A

Verdadeiro.

How well did you know this?
1
Not at all
2
3
4
5
Perfectly
8
Q

O trabalho da força peso sobre um corpo depende da trajetória do deslocamento desse corpo ?

A

Falso, o trabalho da força peso sempre será +mgh ou -mgh, não dependendo da distância de deslocamento, mas apenas da altura.

How well did you know this?
1
Not at all
2
3
4
5
Perfectly
9
Q

Como se pode calcular o trabalho exercido por uma força de módulo variável ?

A

Em casos desse tipo iremos calcular o trabalho por meio da área do gráfico da força em função do deslocamento.

How well did you know this?
1
Not at all
2
3
4
5
Perfectly
10
Q
A
How well did you know this?
1
Not at all
2
3
4
5
Perfectly
11
Q

Como podemos resolver a questão abaixo ?

A

Por se tratar de uma força variável, basta calcularmos a área do gráfico de acordo com o deslocamento da mola, lembrando que deslocamentos que diminuem a deformação da mola, ou seja, que fazem a mola voltar ao estado de equilíbrio, resultam em trabalhos positivos da força elástica.

How well did you know this?
1
Not at all
2
3
4
5
Perfectly
12
Q

Por meio de qual fórmula podemos calcular a potência média de uma força constante ?

A
How well did you know this?
1
Not at all
2
3
4
5
Perfectly
13
Q

Por meio de qual fórmula podemos calcular a potência instantânea ?

A

Obs: a fórmula é a mesma de potência média, porém, na potência instantânea utilizamos a velocidade instantânea e não a velocidade média.

How well did you know this?
1
Not at all
2
3
4
5
Perfectly
14
Q

Qual a fórmula de rendimento em termos de potência ?

A

O rendimento consiste na razão entre a potência útil e a potência total fornecida, sendo que também podemos dizer que a potência útil é a potência total menos a potência dissipada.

How well did you know this?
1
Not at all
2
3
4
5
Perfectly
15
Q

Qual o tipo de conversão de energia que ocorre em uma hidrelétrica ?

A

Uma hidrelétrica converte energia mecânica em energia elétrica.

How well did you know this?
1
Not at all
2
3
4
5
Perfectly
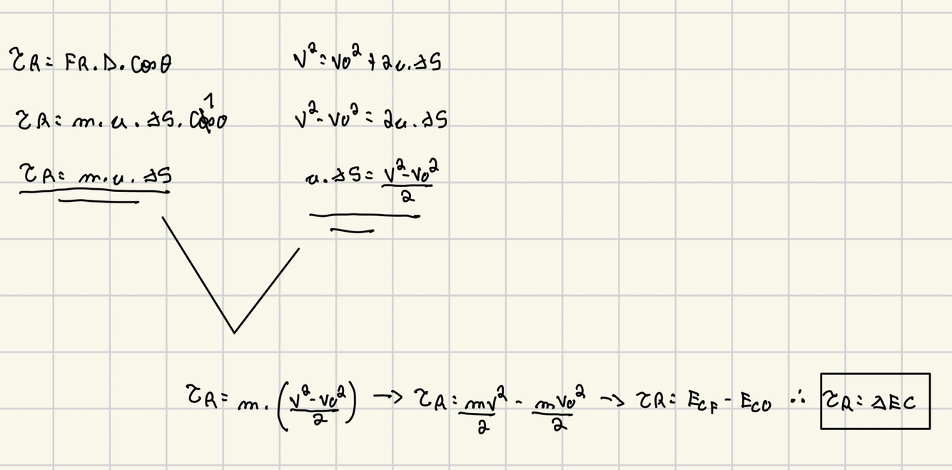
16
Q

Prove o teorema da energia cinética, ou seja, como podemos calcular o trabalho de uma força resultante por meio da variação a energia cinética do móvel.

A

Obs: devemos lembrar que esse teorema é utilizado para calcular a soma dos trabalhos, ou seja, o trabalho da força resultante e não das forças individuais do movimento, mas sim de todas as forças somadas (resultante).

17
Q

O trabalho de forças conservativas depende da trajetória percorrida pelo corpo ?

A

Falso, o trabalho de forças conservativas não depende da trajetória, mas sim da variação da energia potencial.

18
Q

Quais são as três forças conservativas ?

A
  • Força peso
  • Força elástica
  • Força elétrica
19
Q

Qual o teorema da energia potencial ?

A

O teorema da energia potencial consiste em calcular o trabalho de uma força conservativa (peso, elástica ou elétrica) por meio da variação da energia potencial dessas forças.

20
Q

Como podemos calcular a variação de energia em um gráfico de potência de uma força pelo tempo ?

A

Devemos calcular a área do gráfico para chegar no valor da variação de energia.