Probability - 1.1 Probability Spaces Flashcards

(39 cards)

1
Q

Probability Spaces

What is a random experiment characterised by? Mathematically, how do we denote a probability space?

A
  1. The possible outcomes (Ω)
  2. The observable events (F)
  3. The assignment of probability to these events (P)

So a probability space has these three components, as is denoted by:
(Ω, F, P)

How well did you know this?
1
Not at all
2
3
4
5
Perfectly
2
Q

Probability Spaces

Definiton 1.1: What is a Sample space?

A

denoted as Ω

In measure-theoretic probability, Ω can be abstract, but to ground it in probability theory:

  • Let Ω be all outcomes of tossing a coin twice {HH,TT,HT,TH}
  • A subset A of omega is a set that contains all outcomes relating to that event e.g. let A be the event of getting at least 1 tails, then A = {TT,HT,TH}
How well did you know this?
1
Not at all
2
3
4
5
Perfectly
3
Q

What does the mathematical symbol ‘:=’ mean?

A

The symbol “:=” indicates a definition, rather than an equation

e.g.
Ω := C([0,T];[0, inf))

the sample space Ω is the set of all continuous functions with domain 0 to T and codomain of all non-negative reals

How well did you know this?
1
Not at all
2
3
4
5
Perfectly
4
Q

Probability Spaces

Definiton 1.2: What is a σ-algebra?

A

Denoted by F - generally referred to as the set of information revealed to us by the random experiment

1) The sample space is an element of F (kind of like symmetric groups in group theory)

2) if A is in F Ac is in F ( where Ac = Ω/A = {x ∈ Ω: x ∉ A}) e.g. if I have the event that I get a space, there must be an event that I don’t get the spade

3) If A1, A2, A3 are in F, so is the countable union of all An –> F again, kind of like symmetric groups in group theory –> this means any finite selection in F (so could just be A1and A2
* e.g. you have the probability of getting heads, tails and heads or tails. (all must be possible for a sigma-algebra sense)
* For this to be a sigma-algebra, it must be under countable unions, finite unions (while true) is not applicable for the proper definiton.

How well did you know this?
1
Not at all
2
3
4
5
Perfectly
5
Q

Examples of F-measurable events? Or alternative ways to define a sigma algebra F that can be derived from its definition?

a to d

A

a) as the empty set has the complement of the entire sample space (2), which is also 1)
b) follows of from De Morgan’s laws
c) so if A1….An ∈ F by (a) as the interception of AN+1=AN+2… = ∅ ∈ F therefore the finite union is equal to the countable union (as N+1 and beyond are the empty set) ∈ F by (3)
d) If A ∈ F –> Ac ∈ F, furthermore if B ∈ F –> Bc ∈ F, thus if A, Bc ∈ F it follows by c) that A n Bc ∈ F. but A n Bc = A/B, thus A/B ∈ F

How well did you know this?
1
Not at all
2
3
4
5
Perfectly
6
Q

Probability Spaces

What is DeMorgan’s complement of the union and intersection of countable sets?

A
How well did you know this?
1
Not at all
2
3
4
5
Perfectly
7
Q

Real Analysis knowledge:

If x1, x2….. ∈ R, what is the limsupn–> ∞ xn?

A
  • The limsupn–> ∞xn and limn–> ∞xn are two different things, generally:
    • limit = the destination (if the sequence actually goes somewhere and coverges, or in theory tends to infinity)
    • limsup/liminf = the horizon lines (upper and lower envelopes) that always exists when the sequences bounces around, that is the ultimate bounds of the long-run behaviour of a sequences

limsupn–> ∞xn
= limsupn–> ∞ sup{xn,xn+1….}
= limsupn–> ∞ supm >= nxm
= infn>=1supm >= nxm

How well did you know this?
1
Not at all
2
3
4
5
Perfectly
8
Q

Real Analysis knowledge:

Generally what are the actionable step you could do to find the limsupn–> ∞ xn?

A
How well did you know this?
1
Not at all
2
3
4
5
Perfectly
9
Q

Real Analysis knowledge:

Why is the limsupn–> ∞ xn? considered a decreasing function?

A

Either:

For each nested sequence of xn, going forwards as you just consider the tail supremum, then either:

  • The imsupn–> ∞ xn is constant as say the entire sequence is bounded by positive infinity
  • Or for each consectutive tail supremum (say for an oscillating but decreasing sequences) will get smaller as smaller as n gets large. Thus we are looking for the expected terminal value that the sequences will tend to as n–>inf
How well did you know this?
1
Not at all
2
3
4
5
Perfectly
10
Q

Real Analysis knowledge:

If x1, x2….. ∈ R, what is the liminfn–> ∞ xn?

A

This is a generally an increasing function as for each consectutive tail Tn the infinmum of the sequence can only get smaller or get larger e.g. think of a n osciliating sequences that tends to the limit 0. each tail the infimum will get increasing larger till it tends to zero

How well did you know this?
1
Not at all
2
3
4
5
Perfectly
11
Q

Real Analysis knowledge:

Generally what are the actionable step you could do to find the liminfn–> ∞ xn?

A
How well did you know this?
1
Not at all
2
3
4
5
Perfectly
12
Q

Probability Spaces:

If A1,A2…… ∈ F what does we know about the limsup and liminf?

A
  • limsup –> A good way to think about it as imagine for is increasing k >=n there is a set formed from the union of set A_k. say B_1, B_2,B_3 which are all sets in their own right it follows from point 3 that each B_1….B_n is in F. And my point b) it follows that the intersection of these B_1…B_n set is also in F.

A similar defintion hold for the liminf

How well did you know this?
1
Not at all
2
3
4
5
Perfectly
13
Q

Probability Spaces:

What is the limsupn –> ∞ An and how does it relate to real analysis?

A

A similar defintion holds for the liminf

How well did you know this?
1
Not at all
2
3
4
5
Perfectly
14
Q

Ptobability Spaces:

What do the limsupn–>∞An and liminfn–>∞An actually represent?

A

So letting w ∈ limsupn–>∞An = ∩n ∈ Nk >=n Ak

Then ∀ n∈N ∃ some k>=n such that w ∈ Ak

liminf –> The number of sets for which w is in not An is a finite number, thus w is in An at some point
limsup –> There are infinitely number of sets for which w is in An, there are infinite An

How well did you know this?
1
Not at all
2
3
4
5
Perfectly
15
Q

Probability Space:

How can we prove these two sets are equivalent?

A
How well did you know this?
1
Not at all
2
3
4
5
Perfectly
16
Q

General Knowledge:

What does the mathematical symbol ※ mean?

What does the mathematical symbol # mean?

A

= the cardinality of the set.

※ = “special notes”, “assumption” or “contradiction reached” (sometimes also written as “⊥” in logic). Lecturer used it as a stylistic way to mark “we;ve reached a contradiction)

17
Q

Probability Spaces:

Show these are equilvalent set.

18
Q

Probability Spaces:

When Ω is finite (or countable) what is the usual choice for a sigma-algebra on Ω?

A

Also can write the power set of Ω as P(Ω)

e.g. if Ω={1,2,3} then the number of elements in 2Ω is 23 = 8 and:

P(Ω) = {{∅}, {1}, {2}, {3}, {1,2}, {1,3}, {2,3},{1,2,3}}

19
Q

Probability Spaces:

When Ω is uncountable e.g. Ω = R what can we choose for a sigma-algebra on Ω?

A
  • You can create different σ-algebra based on different generators A, but one normally tried to choose the smallest σ-algebra set that contains the generator of the set while meeting the definiton of a σ-algebra.
  • note that A itself is a set of the set of the generator. That is why in the definition A ∈ G but A ⊆ G. (e.g if A = {{1,2}} and G {∅,{1,2},{3},{1,2,3}}, then A ⊆ G makes sense as {1,2} ∈ G but saying A ∈ G –> {{1,2}} ∈ G which isnt the case)
  • G is any σ-algebra that contains the generator A
20
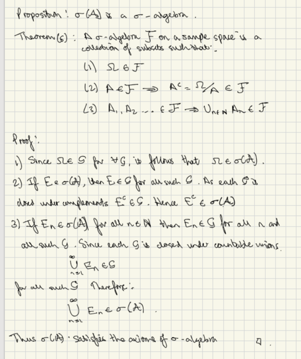
Q

Probability Spaces:

show that σ(curly-A) is a σ-algebra?

21
Q

Probability Spaces:

Example:

if Ω=R, where we have OR = {all open sets in R} what is the Borel σ-algebra?

A

4 Even more generally, if (Ω, τ ) is a topological space, one sets BΩ := σ(τ ), and calls this the Borel σ-algebra on Ω.

22
Q

Probability Spaces:

What is a probability measure?

A

Alternative definition is that:

Given a measurable Space (Ω, F). a probability measure μ on (Ω, F) is a map μ is mapping μ: F –> [0,inf] such that:

1) μ(∅) = 0, μ(Ω) =1
2) A1, A2… ∈ F, such that Ai ∩ Ai=∅ for i≠j

and μ(⋃inf i=1 Ai)= Σinfi=1 μ(Ai) –> this is referred to as (σ-additivity)

23
Q

Probability Spaces:

Give an example how we can create a probability measure for a dice roll?

24
Q

Probability Spaces:

What is a Dirac measure for w*?

A

Note that unless Ω = {ω^}, it is false to say that we are sure that the state of the world will be ω(^); we can only say that the state of the world will be ω* P-almost surely;

  • elementary element is just a single outcome of the sample space
  • What we are saying that by fixing w^, then if our event contains w^, then the probability is 1. If it does the probability is 0.

So let Ω = {1,2,3,4,5,6} in idea of the Dirac measure let w^=6 say. then P[6]=1. This is a probability measure because:
1. P(Ω) = 1 because w^=6 ∈ Ω
2. P(∅)= 0 because w^ is not ∈ ∅
3. If A1, A2 are disjoint then exactly one of them contains w(^That one get probabilityiy 1, the rest get 0 so the sum works out

Thus P is a probaiblity measure

25
Probability Spaces: Briefly, how is the P the probability measure for a discrete uniform distribution?
26
Probability Spaces: How do we create a probability of the measurable space of a dice roll?
27
Probability Spaces: Approach this question from a measure-probabilistic approach?
Given that our Probability measure is P[A] = |A|/|Ω| * 4^5 = for one paricular run of a fix rank (say 5,6,7,8,9) then for each of the 5 cards, you can choose nay of 4 suits independently. * 4^5-4 = we are considering only the of different suits, thus for the 4 set of runs for this fix set in which you have a run of all the same suit, we need to remove these from the count *10(4^5-4) = for a fixed run, there are 4^5-4 possible occurances of that run based on the suits. There are 10 sets of possible number cards runs from ace,2,3,4,5 to 10,jack,queen,king * (52 5) = The possible number of picking 5 distinct cards from a set of 5 with **no ordering**
28
Probability Spaces: (a) Let (Ω, F,P) be a probability space. If A ∈ F, then how can we calculate the probability of P(Ac)? (b) if A ⊂ B ∈ F then how can we rewrite P(B) in terms of P(A) and what can we infer about the size of their respective probabilities (c) if A,B ∈ F then what is the formula for P(A∪B) and what can we infer about it size relative to P(A)+P(B) (d) If A1 ⊂ A2 ⊂ .... ∈ F then what is P( ⋃n-->∞ An)? (e) If A1 ⊃ A2 ⊃ .... ∈ F then what is P( ∩n-->∞ An)? (f) If A1, A2 .... ∈ F then what is P( ⋃n-->∞ An) less than or equal to?
29
Probability Spaces: What is the proof of (a)?
30
Probability Spaces: What is the proof of (b)?
31
Probability Spaces: What is the proof of (c)?
32
Probability Spaces: What is the proof of (d)?
33
Probability Spaces: What is the proof of (e)?
34
Probability Spaces: What is the proof of (f)?
35
Probability Spaces: Set intersection basic properties?
36
Probability Spaces: What can we not assume about the set A given if P(A)=0 or 1?
37
What do we mean by P(A) given A ⊂ Ω? consider tossing a coin twice so Ω = {HH,TT,HT,TH} and A= event of getting at least 1 tails
* The probability that A "happens means that the experiment resulted in one of the outcomes that lie in the set A * P(A)= 3/4 as there are three things in set A out of 4 things that are equally likely to occur
38
39
What are some of the generic sigma-fields/sigma-algebras?