Probability - 1.2 Random Variables Flashcards

(39 cards)

1
Q

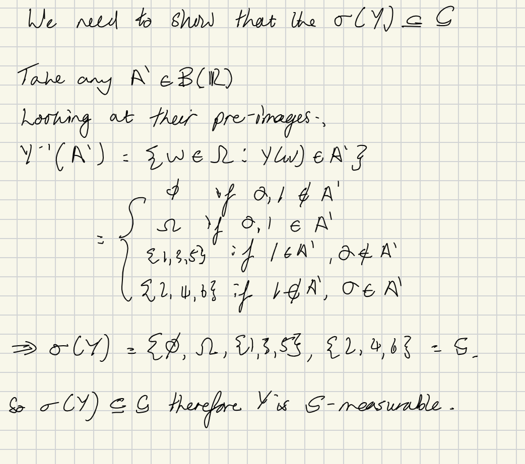
How can we denote a dice roll as a formal probability space? Can you give an example of a G-measurable random variable and one that isn’t?

A

While we can determine the probability that the outcome we rolled is even and odd in Y(w), we cannot tell if the probabilistic outcome of rolling 1 in the case of the mapping X(w)

How well did you know this?
1
Not at all
2
3
4
5
Perfectly
2
Q
A

subset of all elements in the sample space that get matched to A’

How well did you know this?
1
Not at all
2
3
4
5
Perfectly
3
Q

What is the collection of sets called the sigma-algebras generated by X, σ(X)?

A
  • σ(X) can be thought of as containing all the information to help us clearly determine the value of X.
    • Clearly, X is measurable with respect to F and F′ if and only if σ(X) ⊂ F, i.e., F contains all the information about X.
How well did you know this?
1
Not at all
2
3
4
5
Perfectly
4
Q

Is this a sigma algebra?

A
How well did you know this?
1
Not at all
2
3
4
5
Perfectly
5
Q

Random Variables:

When can we say X is measurable with respect to F and F’?

When is X an F-measurable random variable?

When is X called an F-measurable random vector?

A

or equivalently the σ(X) ⊆ F

X is an F-measurable random variable if the information needed to determine X is included in F

How well did you know this?
1
Not at all
2
3
4
5
Perfectly
6
Q
A
  • We are just considering this particular sigma algebra; there is no special meaning behind it
How well did you know this?
1
Not at all
2
3
4
5
Perfectly
7
Q
A
How well did you know this?
1
Not at all
2
3
4
5
Perfectly
8
Q
A
How well did you know this?
1
Not at all
2
3
4
5
Perfectly
9
Q

Is the formal definition of an F-measurable Random Variable practical for checking whether a function is F-F’ measurable?

A
How well did you know this?
1
Not at all
2
3
4
5
Perfectly
10
Q

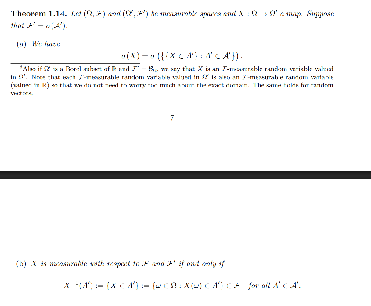
What is the Theorem for checking whether X is measurable with respect to F and F’?

A
  • Note its sigma(curly A’)
  • So we are noting that F’ is generated by the subset curly A’ where curly-A’ is a subset of 2
    a) σ(X) = the set of all pre-images of A’ given A’ is in the set of the generator curly-A’

b) X is F-F’ measurable iff, X-1(A’) ∈ F for all A’ ∈ curly-A’

How well did you know this?
1
Not at all
2
3
4
5
Perfectly
11
Q

What is the first corollary that follows from the Theorem above?

A
  • This means X is a F-measurable random variable if the pre-images of this form also lie in F.
How well did you know this?
1
Not at all
2
3
4
5
Perfectly
12
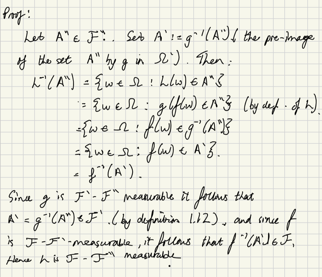
Q

What is the proof of Corollary 1.15?

A
  • This means X is an F-measurable random variable if the pre-images of this form also lie in F.
  • Basically it is saying to prove measurability of X: F–> R, we dont need to check all sets in the Borel sets, we just want to check those of the form (-inf, x] for x in R, because if we can prove measurability (i.e. all the preimages of sets of this size are in the domain F) for jus the generator set.
  • also it depends what F is, you could have a really random sample space and thus domain sigma-algebra that leads this not to hold.
How well did you know this?
1
Not at all
2
3
4
5
Perfectly
13
Q

What is the second corollary that follows from the Theorem above?

A

Rd: the dth-dimensional space in R

How well did you know this?
1
Not at all
2
3
4
5
Perfectly
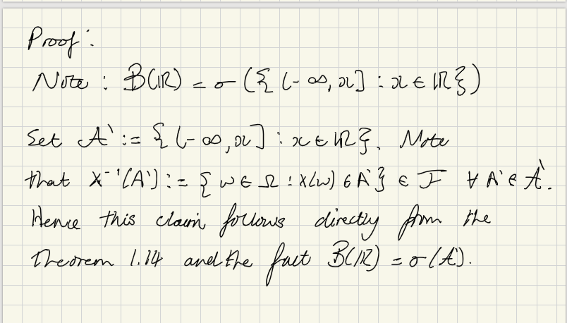
14
Q

What is the proof of Corollary 1.16?

A

so as the pre-image is a closed set in Ω (standard topology rule), and all closed sets lie in F=B(Ω). As we did this for any fix x, it implies that this proof holds for all pre-images of this type. Thus by Corollary 1.15, we have shown that all f-1((-inf,x]) are elements of F=B(Ω) for all x in R, which thus meets the definition of measurability.

How well did you know this?
1
Not at all
2
3
4
5
Perfectly
15
Q

What is Theorem 1.17 regarding the properties of the composite measurable maps?

A
How well did you know this?
1
Not at all
2
3
4
5
Perfectly
16
Q

What is the proof of Theorem 1.17?

17
Q

What is Lemma 1.18, which is required to show that the sums and products of random variables are again random variables?

A
  • So each function Xn maps each ω ∈ Ω, to some real number.
  • Bundling these together, we can create a vector-valued mapping from Ω to Rn.
  • So instead of getting one outcome per mapping we get a nth dimension vector per outcome.
18
Q

What is the proof of Lemma 1.18?

A

if part:

  • We are proving measurability by checking that any nice set B ⊆ Rn (especially sets that generate the Borel sigma-algebra), the preimage X-1(B) –> that is why we are checking the standard generator set of the Borel sigma-algebra (-inf, b]

only if part:

  • So let’s say we correct a project mapping πi. That is, when composed with X, it will return the ith position random variable in X.
    • Is πi continuous? Well, by Corollary 1.16, anything that maps from Ω, which is a subset of R^d (in this case R^n) to R under f and F=B(R^n), then if f is continuous f is measurable. As πi is a continuous function, it must be B(R^n)-B(R) measurable.
  • as each Xi can be written as the composite between πi and X, which are both measurable functions, then their composite, which thus is each Xi is continuous by Theorem 1.17.
19
Q

What is Theorem 1.19 regarding measurable random variables and their combinations?

A

8 Here we agree that x/0 := 0 for all x ∈ R which is standard convention in measure theory.

20
Q

General knowledge:

What are some standard algebraic and real continuous functions?

21
Q

General knowledge:

What are some standard root and absolute value continuous functions?

22
Q

General knowledge:

What are some standard linear algebra/multivariable maps of continuous functions?

23
Q

General knowledge:

What are some standard operations that preserve continuity of continuous functions?

24
Q

What are some standard topologically continuous functions

25
What is the proof of Theorem 1.18 generally for addition, subtraction and multiplication of random variables?
26
What is the proof of Theorem 1.18 generally for the division of random variables?
27
Why is x/0 := 0 for all x in R in measure theory?
28
What is Theorem 1.20 regarding countable sets of F- measurable R(bar)-valued mappings? What other mappings are F-measurable?
29
What is R-bar, and what is the Borel sigma algebra on R-bar?
* Note that the uncountable suprema and infima are, in general, not measurable
30
What is the proof of Theorem 1.20: a) supn ∈ NXn
The intersection of the supremums of a set of random variables is measurable
31
What is the proof of Theorem 1.20: b) infn ∈ NXn Use countable intersections
The intersection of the infimum of a set of random variables is measurable
32
What is the alternative proof of Theorem 1.20: b) infn ∈ NXn consider countable unions
33
What is the proof of Theorem 1.20: d) lim supn --> inf Xn
34
What is the proof of Theorem 1.20: c) lim infn --> inf NXn
35
What is the distribution of X, an F-measurable random variable under P? What is the distribution function of X under P?
36
How is X(w)=w2 an example of defining measurability?
37
How is X(a)=0, X(b)=1 an example of failing to define measurability?
38
Useful proof for Borel Sets?
39
What sets are open and closed in R?