Pt.1 Flashcards

(154 cards)

1
Q

What is the Lennard-Jones Potential? Give 2 forms.

A
How well did you know this?
1
Not at all
2
3
4
5
Perfectly
2
Q

What does epsilon represent in the Lennard-Jones Potential?

What does Sigma represent in the Lennard-Jones potential?

Sketch the Lennard-Jones potential, marking sigma and epsilon.

A

Epsilon represents the depth of the potential energy well.
Sigma- The separation where U(R) = 0, it is the radius of the repulsive core. NOTE: WHERE U(R) = 0 is NOT the equilibrium point, i.e. not the position of minimum energy/not equilibrium position! DO NOT CONFUSE sigma with R0! You made this mistake before!

How well did you know this?
1
Not at all
2
3
4
5
Perfectly
3
Q

What is the TOTAL Lennard-Jones potential for a CRSTAL (not just between 2 atoms)?

A

N: The total number of atoms in the crystal.

R: The nearest-neighbor distance (the smallest distance between two atoms in the lattice).

pij: A dimensionless number that tells you how much farther away a specific atom
j is from a reference atom i, compared to the nearest neighbor. In other words, the distance between atom i and atom j is.

How well did you know this?
1
Not at all
2
3
4
5
Perfectly
4
Q

What is the total cohesive energy of a van der Waal crystal with a face centred cubic structure?

A
How well did you know this?
1
Not at all
2
3
4
5
Perfectly
5
Q

Given the summation. Find the where the equilibrium separation occurs.
Hint: Minimum of Cohesive energy of van der Waal crystal/Lennard-Jones potential for a crystal.

When going from 2 to multiple (a crystal of atoms)- The repulsive force each atom feels is a force from 12.13 atoms/nearest neighbours, and the attractice force is as though an atom is in an environment of effectively 14.45 neighbouring atoms.

A
How well did you know this?
1
Not at all
2
3
4
5
Perfectly
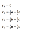
6
Q

s = sigma
e = epsilon.

A

Image above is an example for an arbitrary crystal, you need to substitute in other values provided in the question.

How well did you know this?
1
Not at all
2
3
4
5
Perfectly
7
Q

What does the Lennard-Jones potential arise from?

A
  1. Van der Waal interactions - arise from attractive (-ve) potential energy between an instantaneous dipole on one atom and the induced dipoles on neighbouring atoms.
  2. Pauli exclusion principle- a repulsive (+ve) interaction due to electrons not being able to occupy the same state
How well did you know this?
1
Not at all
2
3
4
5
Perfectly
8
Q

Ionic bonding results from the electrostatic interaction of oppositely charged ions.

What are the causes of the potential that causes Ionic bonding?

A
  1. Electrostatic potential (-ve or +ve depending on the interaction is between unlike or like charges).
  2. Pauli Exculsion principle- repulsion (+ve) - preventing electrons from existing in the same state (i.e. not same position or energy).
How well did you know this?
1
Not at all
2
3
4
5
Perfectly
9
Q

State the interaction potential of an ION PAIR

A
How well did you know this?
1
Not at all
2
3
4
5
Perfectly
10
Q

State the interaction potential of an IONIC STRUCTURE (not just pair- requires summation).

A

MADELUNG CONSTANT IS IMPORTANT!
Need to remember eqn 2.19.

How well did you know this?
1
Not at all
2
3
4
5
Perfectly
11
Q

State the interaction potential of an Ionic structure.

A
How well did you know this?
1
Not at all
2
3
4
5
Perfectly
12
Q

Find the equilibrium seperation (R0) for an IONIC CRYSTAL.

Hence find the cohesive energy of an ionic crystal in the ions equilibrium positions by substituting in the expression for R0.

A
How well did you know this?
1
Not at all
2
3
4
5
Perfectly
13
Q
A
How well did you know this?
1
Not at all
2
3
4
5
Perfectly
14
Q

Where do Van der Waals interactions arise from?
Where do Ionic interaction arise from?

A
How well did you know this?
1
Not at all
2
3
4
5
Perfectly
15
Q

NOTE THIS IS PER ION PAIR.

A
How well did you know this?
1
Not at all
2
3
4
5
Perfectly
16
Q
A
How well did you know this?
1
Not at all
2
3
4
5
Perfectly
17
Q

Is covalent bonding a quantum or classical effect?

A

Covalent interactions arise from the constructive or destructive interference of neighbouring orbital wave functions- new molecular orbits emerge (LCAO)

How well did you know this?
1
Not at all
2
3
4
5
Perfectly
18
Q

State the formula for the Linear combination of atomic orbitals (LCAO).
Is the number of molecular orbitals formed = number of atomic orbitals involved?

A

The number of molecular orbitals formed is ALWAYS equal to the number of atomic orbitals involved.

How well did you know this?
1
Not at all
2
3
4
5
Perfectly
19
Q

Explain how Carbon in Diamond hybridises to form sp3 molecular orbits/ tetrahedral structure.

A

Carbon’s ground state: 1s² 2s² 2pₓ¹ 2pᵧ¹ (2p₂ empty)

For sp³ hybridization: One 2s electron is promoted to the empty 2p₂ orbital

Now we have: 1s² 2s¹ 2pₓ¹ 2pᵧ¹ 2p₂¹ (four unpaired electrons)

The 2s orbital and all three 2p orbitals (2pₓ, 2pᵧ, 2p₂) mix to form four equivalent sp³ hybrid orbitals

Each sp³ orbital has 25% s-character and 75% p-character

These four orbitals point toward the corners of a regular tetrahedron (109.5° bond angles)

How well did you know this?
1
Not at all
2
3
4
5
Perfectly
20
Q

Describe the structure of Graphite.
Explain the sp2 molecular orbitals (what electron moves to where?).

A
  • Electron moves from 2s to 2pz orbital, however, only 3 of the valence electrons are involved with bonding this time.
    More detail:
    Promotion: 2s² → 2s¹ (one electron moves to 2p₂)

Result: 1s² 2s¹ 2pₓ¹ 2pᵧ¹ 2p₂¹

The 2s, 2pₓ, and 2pᵧ orbitals mix to form three sp² hybrid orbitals

These three orbitals are arranged in a trigonal planar geometry (120° bond angles)

The remaining electron in the pure 2p₂ orbital forms the π-bond system

How well did you know this?
1
Not at all
2
3
4
5
Perfectly
21
Q

Where does the weak attraction between Graphite layers arise from?
What orbitals overlap and delocalise?

A
How well did you know this?
1
Not at all
2
3
4
5
Perfectly
22
Q
A
How well did you know this?
1
Not at all
2
3
4
5
Perfectly
23
Q
A
How well did you know this?
1
Not at all
2
3
4
5
Perfectly
24
Q

Read for understanding

A
How well did you know this?
1
Not at all
2
3
4
5
Perfectly
25
ONLY THE LATTICE MATTERS (mostly- also need to think what is at each site/side of that lattice)
26
What is the characteristic feature of metallic bonding?
Charactersitc feature: Lowering of energy of valence electrons. In a metal, a delocalised electron feels attraction to all the positive nearby metal cores. This reduced the energy of the electron
27
What is metallic bonding?
In metals, the valence electrons are removed from the ion cores, but in contrast to ionic solids, there are no electronegative ions to bind them.[2] A large number of electrons are free to move about the crystal, these are the conduction electrons, responsible for high electrical conductivity.
28
Starting from the blue point marked. Label other lattice points nearby. Sketch the basis vectors a, and b, as well as the angle (gamma) between the basis
Step 1: Choose an origin. Step 2: Identify all other equivalent sites in the crystal, where the arrangement of atoms around these points is IDENTICAL to the arrangement of atoms around the original point. IDENTICAL = same element, same bond, same ORIENTATION - orientation important as is easily overlooked - for this graphene structure, the intial point chosen was surrounded by atoms bonded in an 'up y' shape, meaning you could not choose an atom which had surrounded atoms bonded to look like a 'down y' shape as a lattice point. Note: Do not need to choose an atom as an intital point, could choose anywhere (as illustrated by the randomly placed orange dot in the centre of a ring), all that matters is that at the next lattice point, the surrounding structure and elements are THE SAME/IDENTICAL.
29
Define crystal lattice
Where the arrangement of atoms around a point is identical to the arrangement of atoms around another point in the structure.
30
Sketch the lattice/basis vectors a and b and state what they represent.
The conventional choice of lattice vectors for graphene is indicated in graphene crystal structure as a and b, the two shortest vectors from the origin to its nearest neighbours. The entire crystal lattice can now be mapped out using these two vectors. Lattice vectors, unique vectors to the nearest neighbour(s) that act as basis vectors to easily map out the entire crystal lattice.
31
What vector allows any point in the lattice to be reached by any linear combination of lattice? State this vector in vector form i.e. X = aY + bZ What does the 'lattice' describe, and why does it not give the full picture of a crystal structure? (Ans indicated by ** ) What does the basis tell us?
Translational vector allows any point in the lattice to be reached by a lattice transformation of T. T = u a^ + v b^ where u,v integers, a and b are lattice vectors. ** Lattice only describes periodicity of the lattice; not where atoms are. Only the BASIS tells us where to put the atoms in relation to each lattice point.
32
How do we define the position of an atom in the basis?
We define the position of an atom in the basis by a basis vector of the form (3.3), where x and y can take any value and a and b are the lattice vectors.
33
What is a unit cell? What makes a unit cell primitive?
A unit cell is the area (2D) or volume (3D) defined by lattice vectors. It is the smallest repeatable unit that can tile to reproduce the entire lattice. A primitive unit cell only contains 1 lattice point. The unit cell described by b and a is primitive --> summing fraction of basis in each corner = 1 basis total. The one described by b' and a' is not primitive as it contains 4* 1/4 of a basis + 1 basis in the middle = 2 basis enclosed therefore not primitve by definition.
34
Sketch the 4 bravais lattices. Which one is primitive (sum the fractions of basis enclosed, except for hexagonal).
35
Given the basis vectors, and the lattice point chosen (blue dot), state r1 and r2 (vectors). What structure best describes this crystal and why? [for why, don't need explanation, just try thinking of how pieces would fit together]
36
What is the lattice constant?
The lattice constant (*a*) is the length of the primitive lattice vector for a simple cubic lattice, or more generally, the magnitude of the shortest, unique translation vectors that define the crystal structure. In practice, for most common structures, it's the distance between identical atoms (or lattice points) along a principal crystal axis. Note: Diamond structure and zinc-blende are very similar, the only difference being that diamond is made purely from carbon atoms, where as zinc-blende structures consist of 2 different elements(s-atom basis).
37
2 methods of close-packing.
38
What is Packing fraction?
Method: Billiard Balls + locate smallest distance between different atoms.
39
True or false? Planes of atoms within crystals make 3D diffraction gratings for x-rays?
40
Do for both planes shown.
Brown: 3, 1, 2 --> 1/3, 1/1, 1/2 Need integer ratio so x by 6 (2 6 3) is Miller index for this plane. Grey: 1,2,2 --> 1, 1/2, 1/2 (2 1 1)
41
Sketch (1 0 0), (1 1 0), (1,1,1), (2 0 0) and (-1 0 0)
42
For spacing: Use pythagoras d^2 = (a/2)^2 + (a/2)^2 = a^2 / 2. Square Symmetry.
43
44
45
46
What is a basis?
The group of atoms attached to each lattice point. It's the "decoration" at each point in the skeleton.
47
What is the formula for crystal structure?
Crystal structure = Bravais lattice + Basis
48
Crystal structure = Bravais lattice + Basis
4 total: 1 from corners (8 × 1/8 = 1) 3 from faces (6 × 1/2 = 3)
49
If a crystal has an FCC lattice with basis of 2 atoms, how many atoms are in the unit cell? LOOK AT IMAGE ON THIS SIDE AFTER ANSWERING AND LOOKING AT ANSWER ON OTHER SIDE.
LOOK AT IMAGE AFTER READING THIS 8 atoms (4 lattice points × 2 atoms each)From the corner lattice points (collectively count as 1): We use the corner at (0,0,0) as representative: Atom 1: (0,0,0) + (0,0,0) = (0,0,0) Atom 2: (0,0,0) + (¼,¼,¼) = (¼,¼,¼) From the face centers (6 faces, but we have 3 total points after sharing): z = 0 face: (½,½,0) → we own ½ of this point Atom 3: (½,½,0) + (0,0,0) = (½,½,0) Atom 4: (½,½,0) + (¼,¼,¼) = (¾,¾,¼) y = 0 face: (½,0,½) → we own ½ of this point Atom 5: (½,0,½) + (0,0,0) = (½,0,½) Atom 6: (½,0,½) + (¼,¼,¼) = (¾,¼,¾) x = 0 face: (0,½,½) → we own ½ of this point Atom 7: (0,½,½) + (0,0,0) = (0,½,½) Atom 8: (0,½,½) + (¼,¼,¼) = (¼,¾,¾)
50
Why don't we count all 6 face centers as full lattice points?
Each face center is shared between 2 cubes, so we only count 1/2 of each. 6 faces × 1/2 = 3 lattice points from faces.
51
Q: When we add basis atoms to face centers, do they stay inside our unit cell?
A: Yes! When we add basis vectors to "our half" of a face center, all generated atoms have coordinates between 0 and 1.
52
Q: What are the coordinates of the 3 face centers we use in FCC?
A: (½,½,0), (½,0,½), (0,½,½) (We use the faces where one coordinate is 0, not 1)
53
Q: How do we find the nearest-neighbor distance?
A: Find the shortest vector between any two atoms in the crystal. For FCC with basis at (0,0,0) and (¼,¼,¼), this is a√3/4.
54
Q: Why does diamond structure have low packing fraction (34%)?
A: Directional covalent bonding fixes atoms at specific angles, creating large empty spaces.
55
Q: What real materials have the diamond structure?
A: Diamond (carbon), Silicon, Germanium
56
Q: If a crystal has simple cubic lattice with basis of 2 atoms, how many atoms per unit cell?
A: 2 atoms (1 lattice point × 2 atoms)
57
Q: What's the difference between "lattice points" and "atoms"?
A: Lattice points are mathematical points; atoms are physical objects placed at/around lattice points according to the basis.
58
Q2: When finding the nearest-neighbor distance in a crystal with basis, which atoms do we consider? Q2: What's a common mistake when finding nearest-neighbor distance?
A1: ALL atoms in the crystal! We find the shortest distance between ANY two atoms, whether they're from the same or different lattice points, and whether they're the first or second atom in the basis. A2: Only checking distances between atoms attached to the same lattice point, or only checking atoms of the same type in the basis. You must check all combinations. ----- The shortest distance might be between: Atom 2 of one lattice point and Atom 1 of another lattice point Or between Atom 1 and Atom 2 of the same lattice point Or between Atom 1 of one lattice point and Atom 1 of another lattice point -----
59
Q: For packing fraction calculations, how do we determine the atomic radius R?
60
61
62
63
64
65
Q: What are directional bonds and what do they affect in crystal structures?
A: Directional bonds are chemical bonds that form at specific, fixed angles (like covalent bonds). They prevent atoms from packing densely, resulting in low packing fractions and creating rigid, hard materials.
66
Given a= 8.3 A, find the spacing of atoms in (111) plane.
LOOK CLOSELY! It is not just from corner to corner, it is from a corner to a lattice face point.
67
68
69
70
Q: What happens when we replace identical atoms with different atoms in a crystal?
A: The electron energy levels split apart, creating band gaps and breaking symmetry. This turns simple conductors into semiconductors with useful electronic properties.
71
Using Bragg reflection eqn- 2dsin(theta) = n*lambda lambda_max occurs when sin(theta) = 1 [max of sin()] and when n=1.
72
Which equation provides the spacing between planes?
73
Which equation provides the spacing between planes? Hint: The miller indices are incorporated.
74
The answer is the same as to problem 1- you may think the most widely spaced planes is (100) as they have a spacing of a, not a/sqrt2 or a/sqrt3 -that reasoning would be correct, HOWEVER, this is the bragg law and works ONLY for PRIMITIVE unit cell, and what we have here is not primitive, even if it was fcc it would have a basis of 2 atoms, but we're actually considering it as simple cubic
75
76
What is the dmax for sc, bcc, and fcc crystals?
The (100) planes have the largest d-spacing, but their reflection is forbidden in the rock-salt structure. The (111) planes for FCC have the largest d-spacing among allowed reflections, so they require the lowest photon energy for Bragg diffraction. You determine whether bragg reflection is forbidden in a particlular plane by using the structure factor.
77
What does each term represent in this formula?
78
In x-ray diffraction, what the position of spots determined by? What is the intensity of these spots determined by?
Position- dependent on lattice. Intensity- dependent on basis.
79
80
Why is the structure factor of importance?
It tells us how much intensity is reflected when this condition for coherent reflection for parallel waves is met.
81
- Think of this structure as 2 overlapping simple cube lattices - Imagine top and bottom of cube are the 100 planes (we are looking from the side). - We'll use a brag picture. - Blue lines are planes of Chlorine atoms (blue dots). - X-rays come in and reflect back at angle of theta, doing it from succesive planes. - These arrive at detector in phase, so we get constructive interference, they arrive 2pi in phase/a whole number of wavelengths. - Now we know when we have Cs atoms (black), they are in the middle of these planes. - Separation of Cesium atoms is d, separation of Chlorine atoms is d. Same d, same lambda, same theta. - Beams also bounce/reflected of Cs atoms. - Same conditions for reflection, Cs atom reflections also arrive in phase with waves reflected off of other Cs atoms. - Waves reflected off Chlorine atoms are completely out of phase with particles diffracted off of Cs atoms, so (IN)complete destructive interference occurs (rays reflected off of different atoms are pi out of phase or half integer wavelength difference) - The reason complete destructive interference does not occur is due to different atoms reflecting different intensities
82
83
84
85
What is scattering amplitude in crystallography? What is the scattering vector in diffraction?
Scattering amplitude describes how strongly an atom or crystal scatters X-rays in a particular direction. The scattering vector is the difference between the outgoing and incoming wavevectors: K = k′ − k For elastic scattering (|k| = |k′|): |K| = (4π/λ)sinθ Bragg's law in vector form: K = G where G is a reciprocal lattice vector The scattering vector K connects points in reciprocal space and determines which crystal planes cause diffraction.
86
87
What are the Laue conditions for diffraction (in terms of lattice basis vectors, a, b and c). Hint: Dot product
Note: K is the scattering vector
88
What is reciprocal space/k-space/ why is it useful? Same for reciprocal lattice?
- The reciprocal space contains the reciprocal lattice - a map of all the possivle scattering vectors derived from the crystal structure. Reciprocal lattice. - It is not a lattice in real space, but in a space of wavevectors known as reciprocal or k-space. - It is useful as it allows us to represent the direction of the beam (given by direction of the wavevector) and the energy (proportional to magnitude of wavevector IkI= 2pi/lambda, E = hk/2pi)
89
What does the magnitude of the wavevector in reciprocal space represent in diffraction of x-rays through a crystal? What does the direction of the wavevector represent in crystallography (x-ray diffraction of crystal).
- Magnitude of k vector represents energy of the beam (IkI is proportional to E). - Direction of k vector represents the direction of the beam.
90
What is the equation for the Reciprocal lattice vector? Hint: a*, b* and c* are bases in reciprocal space. What is the diffraction condition of the Scattering K and Reciprocal lattice translation vector G?
91
What is the relationship between the reciprocal lattice vector G_hkl and the (hkl) Miller index plane in real space? By dotting the relation between vectors d and G, find the relation between the magnitude of the Reciprocal lattice vector and d vector. Note: d is a vector parallel to the plane hkl.
For magnitude relations, do d.d = (d_hkl^2 /2pi x G) . (d_hkl^2 /2pi x G) and rearrange.
92
What happens in elastic scattering? Use this image to prove the bragg law for first order diffraction.
In elastic scattering, no change in magnitude of wavevector (no energy loss of beam), but a change in direction of wavevector.
93
94
Begging from the diffraction condition being satisfied for K = G, find the Leon Brillouin diffraction condition.
95
What is Brilloiun zone?
The Brillouin zone is the smallest volume enclosed by perpendicular BISECTORS of surrounding reciprocal lattice vectors (bisectors cut through middle of reciprocal lattice vectors).
96
Find a*, b*, c* for a sc lattice where primitive translation vectors are a set vectors[a = ai, b = aj, c = ak]. What is the cube side length of the reciprocal sc lattice?
Cube side length = 2pi/a
97
What is Leon Brillouin diffraction condition?
98
Using the primitive translation vector set for a bcc lattice, find reciprocal lattice vectors a*, b*, c*: a = a(− i + j+ k) b = a(i − j+ k) c = a(i + j−k) Sketch the first brilliouin zone. Next, what is the side length of a bcc?
Keen eye---> A bcc lattice in reciprocal space is an fcc lattice. Length of side 4pi/a from diagram. May need to watch lecture 8 to hear how to sketch, just basic vector, i.e. for 2pi/a (+j +k), go 2pi/a in the j direction first, then up 2pi/a in k direction.
99
100
And if you want to draw that out, you start at a point, any point in space. And then you go 2pi/a in 3 directions of our orthogonal unit vectors, so for a* we go back 2pi/a and then across 2pi/a and then up 2pi/a and we get to this point. So we put a point here. And then we do the same for b* and we find a point here and we do this for c* and we put it there and then we realize that we have some periodicity and so obviously if these are unit vectors so are all the ones in the opposite direction (i.e. -c*, -b*, -a* are also unit vectors of the reciprocal lattice, lets you sketch centre to all surrounding 8 points shown.)
101
Find the reciprocal lattice vectors using the translational feature (only do for a*, and b*, not much point doing c*, since same iterative process). What is the length, a of a reciprocal FCC lattice?
Length of side, a = 4pi/a --> same as BCC !!! Remember, SC is 2pi/a!
102
Using our definition of structure factor, substitute our expressions for the diffraction vector K and position vector r to obtain this expression. a* = 2pi/a i hat b* = 2pi/a j hat c* = 2pi/a k hat
a* = 2pi/a i hat b* = 2pi/a j hat c* = 2pi/a k hat
103
What is structure factor of SC?
104
What is structure factor of BCC? Then for a BCC of one atom type (same atomic form factor, f) find which planes of miller indicies are forbidden.
105
What is structure factor of FCC? Then for a FCC of one atom type (same atomic form factor, f) find which planes of miller indicies are forbidden.
106
107
Think of the surface of a crystal as having the same periodicity as the bulk lattice within the surface plane- but having an infinitely large sepration of planes in the direciton normal to the surface. In reciprocal lattice this translates into an infinitesimal separation of reciprocal lattie points in one direaction, effectively leading to a 2D lattice of rods.
If you now imagine the Ewald sphere from the top, you effectively see what the electrons see, a 2D lattice of points, all of which contribute to the LEED - if they fall within th Ewald Sphere. This prediction of the LEED pattern requires us to know the manitude and directions of the 2D reciprocal lattice vectors. For surface diffraction - anly 2 real space vectors, thus 2 reciprocal lattice vectors. G_hkl = ha* + kb* (low energy electron diffraction - a tool to probe surface structure due to electrons scattering of the surface due to coulomb interactions (repulsion)).
108
Hints: 1. G_hkl = ha* + kb* + lc* 2. 2 Laue conditons K = G.
If you want further explanation look at section 4.4 of notes.
109
AWAITING ANSWER
File: LEED PATTERN SCRIPT + INFO 9- Recommend AI method.
110
AWAITING ANSWER
File: LEED PATTERN SCRIPT + INFO 7
111
In metals, the entities that make the solid are essentially positive ions, where the valence electrons stripped from each of the atoms are free to move around amongst them. These make up the conduction electrons of the solid. We saw in part bonding that we can think of this process as an ionic bond in which the -ve ion is the electron.
We assume in this model is that electrons in a metal behave as a gas of free particles, the 'free electron' model. - We assume that the density of positive ion cores are evenly distributed, so that electrons move in an effective constant potential- what we are effectively saying here is that the electrons exist in a square well - that the crystal structure does NOT play a role - that the electrons do not feel significant effects from the periodic arrays of atoms.
112
What is the Schrodinger equation for a free model electron in a lattice?
Remember! We treat the potential inside the box to be V= 0.
113
For our particle in a box model, we assume the waves continue to permeate throughout the entire structure, forming running waves, rather than terminating at the boundaries. To satisfy periodic boundary conditions, what are the possible values of kx, ky, kz? What is the momentum, and energy, of a free model electron in a crystal structure?
E = hbar^2 * IkI^2 /2m IkI^2 = k dot k
114
Through using the density of states in 3D k-space, find density of states g(E) for free electrons in a crystal. Hint: Image
Don't forget to account for spin degeneracy!
115
116
What is the probability of occupying a state at the fermi energy at any finite temperature? At abssolute 0, how many states are occupied up to the fermi energy?
When E = Ef, then the exponent, E- Ef = Ef-Ef = 0. exp(0) = 1, 1/(1+1) = 1/2 for ALL temp >0! At T= 0 K, ALL the states up to the fermi energy will be filled, and all those above will be empty.
117
At absolute 0, how many states are occupied up to the fermi energy?
At absolute zero this tells us that all states up to the Fermi energy will be filled and all those above will be empty as shown in Fermi-Dirac distribution
118
Read then answer: 1. What is the energy at the surface of the spherical shell in E or k-space? 2. What is its radius? 1. At the surface, the energy is the fermi energy. 2. The Fermi sphere has a radius Kf, the Fermi Wavenumber. What is the number of electron within the fermi sphere, N=? What is the electron density? What is Kf? What is the energy of an electron at Fermi surface?
119
BCC-- 2 electrons per cell- as 2 whole atoms (remember packing fractions). E = 2.11x10^-19 J
120
Valency = 1 for sodium (1 free e- per atom) Hint: What is structure of Sodium in image?
Kf is maximum k among occupied states (at T=0) -> max k given smallest wavelngth since inversely proportional.
121
Which equation gives the minimum wavelength of a free electron in a crystal (for T=0)?
Remember lambda = h/k So we want the largest k. At T=0 the largest k is given by the fermi wavenumber, kf. Hence Smallest lambda, lambda_min = 2pi/ kf
122
What is the number of electron within the fermi sphere, N=? What is the electron density? What is Kf? What is the energy of an electron at Fermi surface?
123
What are the reciprocal lattice points of a bcc located? Find the shortest distance to one of these lattice points. Find the distance to the First Brillouin zone.
Remember for bcc - h+k+l must add to be even. Hence (110) is the smallest combination.
124
125
126
What is the specific molar heat capacity of electrons at a constant volume? What is the number of electrons in a particular enegy range? In total? [Integral] What is the total energy? [Integral]
Total energy = E* N Find the number of particles of energy E, then multiply by E to find the total enegy of particles between E --> E + dE.
127
What is the Electric force
128
What is the significance of g(E_f)? i.e. which electrons can change their state and hence contribute to heat capacities?
- As we heat a metal above absolute 0, some states above the fermi energy become occupied, and some states below it become empty. - Only electrons occupying states within KbT of E_f are able to change their state. As only these have access to empty states above the Fermi energy. - At room temp KbT<< E_f, the consequence of this is that only a very SMALL fraction of the electrons can accept thermal energy and contribute to the heat capacity.
129
130
What is the total gain in energy by thermally conductive electrons (remember only a few within KbT of fermi energy can conduct heat)? What is the heat capacity for this electron gas?
131
State the gain in energy by thermally conductive electrons. State the heat capacity of this electron gas at ROOM TEMP. What is formula when not at cold temp?
132
k_b = 1.38 * 10^-23
Electronic specific heat constant = 1.09 mJ/mol/k^2
133
ONLY LOOK AT QUESITON TO BEGIN WITH- I HAD TO PUT PART OF WORKING ON THIS SIDE. Angle alpha is 120, cos 120 = -1/2 Hence (following final line) IGhk0I^2 = a^2 (h^2 + k^2 +2hk(-1/2)) I Ghk I = a sqrt(h^2 + k^2 -hk)
Error on this side- angle alpha is 60 not 120
134
What is the general formula for the magnitude of a reciprocal lattice vector? Ghkl for SC, BCC, and FCC, and what conditions must (hkl) satisfy in each case?
IMPORTANT FOR FINDING BRILLOUIN ZONES-> REMEMBER-- applies to SC, FCC, BCC
135
By integrating the force due to an electric field on electrons within the Fermi Sphere, find an expression for the shift in wavenumber delta k. Does this violate Pauli principle? Why/why not?
If you only excited individual electrons to higher empty states, they’d need empty states right above E_f. ​But here, every electron’s k is increased by the same amount δk. So the entire Fermi distribution is shifted bodily — electrons are still in different states, no two electrons occupy the same k state → Pauli principle not violated.
136
What is the Fermi Sphere? Why doesn't the Fermi Sphere not cause current in the prescence of no electric field?
Without scattering, the sphere keeps moving → current increases linearly with time (like ballistic transport). With scattering (time τ), a steady shift δk is maintained: Field tries to shift sphere. Scattering (impurities, phonons) returns it toward k =0. Balance gives steady-state shift → steady current.
137
Using this equation for delta k, find the 'incremental' velocity, and hence the electron carrier mobility, mu_e. What does the electron mobility represent?
Electron mobility or general charged particle mobility, mu, represents how easily a charge is moved by an applied electric field.
138
Use this to find an expression for current density, J and Electric field E. Also find an equation for conductivity.
J = nq v j = sigma * E, (conductivity * E)
139
The mean collision time is Tau. What contributes to the collision time, write an equation linking the overall collision time to the constituents that cause collisions. What happens to the fermi sphere when the electric field is turned off?
There are 2 types of collison that contribute to the mean collision time: 1. Electron - Phonon scattering- arises due to conduction electron collisions with phonons - contributes a temperature-dependent collison time Tau_ph (T). ---> Tau_ph --> infinity as T--> 0 2. Electron - defect scattering - due to collisions of conduction electrons with defects/impurities in the lattice - contributes a collsion time of Tau_0. The rates of these collisions are independent so when the electric field is switched off, the momentum distribution reverts back to its ground state, that is the Fermi sphere returns to the origin of k-space, with a relaxation time , given by (5.35).
140
Using this, find an equation for electrical resistivity, writing as ideal and residual resitivity.
141
What is the fermi energy? Heat transport by conduction electrons contributes significantly to the thermal conductivity of metals. What is the equation for Thermal conductivity?
142
Using the equations for thermal conductivity and fermi energy, density of states at fermi level (to find Cv) - find this equation for the thermal conductivity.
143
What is the Wiedemann-Franz law? What is the contant of proportionality called? What is its value for all metals?
Wiedmann-Franz law- constant of proportionality constant for all metals (roughly).
144
What is the Electric Hall effect field equation (In terms of Hall coefficient, magnetic field and current density)?
145
What is the Electric Hall effect field equation (In terms of Hall coefficient, magnetic field and current density)?
146
When the Hall effect system reaches a steady state (When F_hall = F_magnetic) the electric and magnetic forces are balanced. Using steady state, produce an equation for the Hall coefficient. FInd the ratio of the number of free electrons per unit volume/ number of atoms per unit volume.
147
What makes metals shiny? What is the electric field of a wave travelling in z direction? What is the wavenumber equal to? What is the Complex index of refraction in terms of dielectric permittivity?
148
By considering an E field wave travelling in the z direction, and complex index of refraction, produce a wave equation.
149
Using this as an ansatz, and considering we are treating the free electrons in the metal as a plasma superimposed on the periodic lattice of ion cores, find an expression for the plasma frequency. What happens if omega
Any displacement of the electron gas with respect to the lattice will set up a restoring electric field; freed from restraint, the electron gas will oscillate about its equilibrium position with a natural plasma frequency. Let’s consider a single electron in the electric field of an electromagnetic wave.The polarization of the light should be such that the electric field E is in the x direction. The equation of motion for this electron is eqn 5.55. ** if w_p is grater than w, you have sqrt (1- x) where x>0 --> imaginary solution, hence when you substitute into wave equation, the wave will be exponentially damped (since i values cancel). * They give this formula, no need to remember.
150
E = hbar * omega--> for energy of light for which the metal changes from shiny to transparent or transparent to shiny
151
152
The free electron model provided insight into electronic heat capacity, conductivity and optical reflectivity, but hasn't answered why some crystals are conducting whilst tohers are insulators or conductors. What must be considered to answer these questions?
These questions can be answered by bringing the periodic potential of the ion cores back into the Schrodinger equation.
153
Define band theory.
Band theory is about finding solutions to the one electron Schrödinger equation where we now include an extra potential energy term due to the lattice
154