Pt.2 Flashcards

(108 cards)

1
Q

Describe how the restivity of Pure metals, semiconductors, pure semiconductors and doped semiconductors changes with temperature?

A
How well did you know this?
1
Not at all
2
3
4
5
Perfectly
2
Q
  1. What is a bandgap?
  2. What is the energy proportionality for (a) the conductive region and (b) the the valence region?
A

Nearband structure peaks, for valence E prpto -(k^2), conduction E prpto + (k^2)

How well did you know this?
1
Not at all
2
3
4
5
Perfectly
3
Q

RSemiconductors:
What is the valence band? The conduction band?

What are semiconductors at T=0 K?
Why do semiconductors conduct when T>0?

What is a doped semiconductor?

A

Valence band- highest energy filled band- full at T=0K.
Conduction band- lowest energy unfilled band- empty at T=0K.
When T=0K intrinsic conductors behave as insulators with full valence band and empty conduction band.

When T>0 K, conduction occurs due to thermal excitation of electrons across a SMALL bandgap into the conduction band.

Doped semiconductors add electrons to conduction band or remove electrons from valence band by adding impurities.

How well did you know this?
1
Not at all
2
3
4
5
Perfectly
4
Q
A
How well did you know this?
1
Not at all
2
3
4
5
Perfectly
5
Q

Answer then read image.
Which elements are semiconductors?
How many valence electrons per atom?
Structure?

A

Answer then read image.
What compound semiconductors are there (as in what combination of different groups of periodic table. There are two combinations)?
What is the average amount of bonding electrons?
typical structure?

Answers:
For III-V compound semiconductors- Group 3 have 3 bonding/valence electrons, Group 5 have 5, avg of these 2 (1:1 ratio) is 4 bonding electrons per atom like with elemental semiconductor.

How well did you know this?
1
Not at all
2
3
4
5
Perfectly
6
Q

The dynamical properties of a nearly filled band with n empty electron states is equivalent to what?

A

The dynamical properties of a nearly filled band with n empty electron states is equivalent to those of n HOLE states with a positive charge and postive effective mass.

How well did you know this?
1
Not at all
2
3
4
5
Perfectly
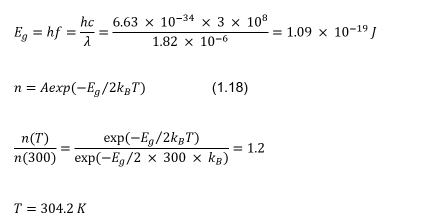
7
Q

What is the equation for number density of electrons of semiconductor?

A
How well did you know this?
1
Not at all
2
3
4
5
Perfectly
8
Q
A
How well did you know this?
1
Not at all
2
3
4
5
Perfectly
9
Q
A
How well did you know this?
1
Not at all
2
3
4
5
Perfectly
10
Q

Properties of a hole = ?
What is the energ of a hole?
What is the wavevector of a hole- show this with reasoning about the sum of electron states in full band at T=0?.

A
How well did you know this?
1
Not at all
2
3
4
5
Perfectly
11
Q

By using arguments for force and momentum, find arelation between the wavevector and electric field of an electron.9

A
How well did you know this?
1
Not at all
2
3
4
5
Perfectly
12
Q

Show, by considering electric forces, that the hole behaves asthough it has POSITIVE charge.

A
How well did you know this?
1
Not at all
2
3
4
5
Perfectly
13
Q

What makes a band gap of semiconductor direct?

A
How well did you know this?
1
Not at all
2
3
4
5
Perfectly
14
Q

What is the equation for the energies of electrons in the conduction band and in the valence band?

A

If you did NOT use the reduced mass m_e* or m_h* for their respective equations you did it WRONG.

We are ignoring this complexity and modeling the valence band as just one parabolic band with a single effective mass mh*.

This is a common simplification in introductory treatments because:

For many optical and transport phenomena near the band edge, the heavy-hole band often dominates.

It makes the math simple: one parabolic conduction band, one parabolic valence band.

The assumption still captures the essential physics of direct bandgap transitions for understanding basics like absorption edge, excitons, and recombination.

How well did you know this?
1
Not at all
2
3
4
5
Perfectly
15
Q

What makes a band gap of a semiconductor indirect?

A
How well did you know this?
1
Not at all
2
3
4
5
Perfectly
16
Q

What is the equation for the energies of electrons in the conduction band and in the valence band?

What is the equation for the number densities of electron STATESin the conduction band and hole states in the valence band?

A

Note: Density of STATES: g(E) is number of states per unit volume. –. Not just number density.

How well did you know this?
1
Not at all
2
3
4
5
Perfectly
17
Q

Use this to produce an expression that a valence band state is occupied by a hole.

A

Chemical potential mu defined as energy at which f=0.5.
E_F is the topmost energy level at T=0K.
E_F=mu at T=0K.
Mu is a function of T.
Fermi ENERGY = mu(0). Fermi LEVEL = mu(T).

How well did you know this?
1
Not at all
2
3
4
5
Perfectly
18
Q

Use these to find:
1.Number density of occupied electron states in conduction band.
2. Number density of occupied hole states in valence band.

A
How well did you know this?
1
Not at all
2
3
4
5
Perfectly
19
Q

What is the fermi distribution f(T) equal to when T = mu (T= chemcial potential)?
What is fermi energy equal to at T=0K?
What is the fermi level at any temperature?

A

When T=0K, E_fermi = mu(0).
The fermi level at any T is the chemical potential.

How well did you know this?
1
Not at all
2
3
4
5
Perfectly
20
Q

Describe optical absorption of indirect and direct band gaps.

A

Direct: Sharp absorption when the photon energy is equal to band gap- producing electron-hole pair.

Indirect: A transition requires a photon to be absorbed and a phonon to be absorbed or emitted to conserve momentum/wavevector. p = hbar * k
Momentum of phonon emitted =
hbar* delta k=
m* X v

How well did you know this?
1
Not at all
2
3
4
5
Perfectly
21
Q
A
How well did you know this?
1
Not at all
2
3
4
5
Perfectly
22
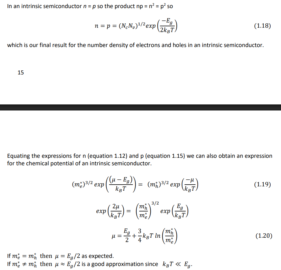
Q

Obtain an expression n*p and show that the product of the number density of holes in valence and number density of electrons in conduction band is independent of the chemical potential!

A
How well did you know this?
1
Not at all
2
3
4
5
Perfectly
23
Q

Using these derived equations, find the chemical potential for an INTRINSIC (Pure/undoped) semiconductor.

A

Key Property!
number of holes = number of electrons for intrinsic semiconductor!
n=p

How well did you know this?
1
Not at all
2
3
4
5
Perfectly
24
Q
A
How well did you know this?
1
Not at all
2
3
4
5
Perfectly
25
What is the number of electron states for an intrinsic semiconductor
Key Property: mu ~ Eg/2
26
What makes intrinsic semiconductors inappropriate for most semiconductor devices?
Intrinsic semiconductors carrier densities rapidly varies with temperature, meaning intrinsic semiconductors are highly temperature dependent, making them unsuitable.
27
What is the saturation regime in extrinsic semiconductors? Explain what happens at low, medium and high temperatures.
28
29
What is a n-type Extrinsic semiconductor? Explain with Phosphorus and Silicon. Discuss Donor Energy levels. At T=0K, where does the donor electron go?
Substituting Phosphorus (Group V) atom in a Silicon (Group IV) crystal. -> Four valence electrons are used in the covalent bonded structure. -> One excess electron, produces n-type semiconductor. -> This electron occupies a state just below the conduction band. A minimal amount of energy is required to excite this electron where it can then flow as electricity An important property: - Extra electron is very loosely bound, has a very small binding energy. - Very small energy required to excite it from loosely bound state to conduction band.
30
In the case of Phosphorus being inserted into a silicon structure, why is the phosphorus seen as a positive charge, although all electrons are still technically bound? Note this is Semiconductor Jargon.
In Chemistry we think of an ion as something that has already lost an electron. In Semiconductors, we look at the net charge of the SITE where the Phosphorus is sitting. A phosphorus atom has 15 protons in its nucleus. In the crystal, 14 electrons (inner shell + 4 valence) stay tightly associated to the nucleus or are locked in covalent bonds with silicon. Since we have 15 protons and 14 electrons 'staying at home' the specific spot in the lattice has a net charge of +1. This is why we label Phosphorus as P+ or a +ve ion even thought the 5 valence electron is still technically bound (but not bound in lower layers of atom or covalent bonds).
31
What is a Hydrogenic donor?
- Often the donor binding energy is very small - the state is described as being 'shallow', meaning very close to the conduction band. - Hydrogenic- similar to Hydrogen atom. In a semiconductor, the donor atom acts like a proton. At T=0, the excess electron is bound (loosely). This electron is attracted to the positive ion P+ core it came from, staying bound. - This bound state is what we mean by Hydrogenic, electron orbits positive ion core just as electron orbits nucleus in Hydrogen nucleus. At T>0K i.e. Room temp - Electron is 'lost' and free to flow. Key difference: - Although the wavefunciton behaves similarly, we use the effective masses and dielectric constant!
32
What is the 'Bohr radius' for a semiconductor/ donor atom.
33
What is the binding energy for a donor atom in a semiconductor?
34
What is the energy gap between the the conduction band and donor level? Describe electrons in donor states at T=0K. Describe electrons in donor states when KbT< Delta E_D.
T= 0 K: All e in lowest energy states. No excited electrons from donor states or valence band into conduction band. T< Delta E_d/Kb: Prob of e being excited across band gap is almost zero. But electrons can be excited from the donor level into conduction band . This means n-type semiconductors are useful and can be used when cold where a normal semiconductor would behave as an insulator!
35
Sketch ln n against 1/T for n-type semiconductor! Sketch E/ 1/T for n-type semiconductor.
36
Describe the electron density for an n-type semiconductor for: 1. T=0K 2. KbT< Delta E_d 3. KbT ~ Delta E_d. Give equations for n for each. When does extrinsic semiconductor behave as an intrinsic semiconductor?
37
38
39
40
41
Lattice constant = 5.6 e-10 m.
Density of atoms = 8 atoms/ (5.6 e-10)^3. Multiply density by volume of electrons orbit (4/3 pi a_B^3). ~ 5600 atoms.
42
State equations for: Ohms Law? Resistance? Resistivity? E field? Conductivity? Current Density? Mobility? Conductivity?
43
What is the total conductivity of a semiconductor given by? What is conductivity_e? What is conductivity_hole?
O_e = n e mu_e O_h = p e mu_h
44
What is Hall effect? What is magnitude of Hall effect E field? Next, express E field in terms of current density? What is hall resitivity? What is Hall coefficient?
45
Hall Effect in semiconductors: What is R_H in n-type? In p-type? What is free carrier Hall coefficient given by?
In a conductor there is only one type of carrier, the hall effect E field eventually cancels the magnetic force. In a semiconductor where both holes and electrons are present, they drift in opposite directions, but the B field pushes them to the same side of the material (as shown). No B field: Total current density, J_x = e(p mu_h + n mu_e) E_x B field in z direction applied: Force exerted in y direction. To reach steady state a field E_y is established. However, this field can not zero out force for both carriers at once since they have different mobilities. Instead: J_y = J_y,h + J_y,e = 0.
46
Derive current density for a semiconductor.
Sign of R_H depends on which numerator is larger p mu_h**2 vs n mu_e**2.
47
48
What is a p-n semiconductor?
A p-n semiconductor junction is a region of a semiconductor that is selectively doped such that one part is p-type and the adjacent n-type.
49
Describe bringing a p-type and n-type semiconductor together (electron and hhole transfer).
- n-type: chem potn, mu above middle of bandgap. - p-type: chem potnm mu, below middle of bandgap. Electrons move from n-type to p-type filling empty valence band states. Difference in mu gives rise to electrochemical force, causing electrons to move, reduces energy by doing so. Movement of charge builds up an E field.
50
Why is mu lowered for p-type doping and raised for n-type doping? Why does this matter?
As n-type is higher than p-type, (higher 'electron pressure') electrons flow toward the p-type where the potential is lower.
51
What does dynamical equilibrium result in? What is the depletion region? Why is the shift of bands equal to? Why do energy bands bend?
Shift of bands equal to the potential drop across the depletion region. A gradient of potential is an electric field. This is why the bands bend. When electrons move from n to ptype, ntype side becomes positively charged, p type becomes negatively charged. This separation of charge creates a large electric field close to the interface. SInce an E field exists, there must be a change in potential across the space. The change isnt instant and occurs over distance of depletion region. The gradient is the slope of that change, in the diagram the bending of E_c and E_v are a representation of this gradient. It's important to note that the diagram shows electrical energy not potential. E = -e *phi, E = energy level, phi is electric potential. Total height of chem potential is e*delta phi!
52
53
Model the p-n junction. Label with N_A, N_D atoms.
54
Assume E field in junction removes all free carriers. What is the charge density in region 0
Remember 1.34!
55
Solve and find the depletion width parameters.
56
What is the generation current? Give eqn.
Electron-Hole pairs created in depletion region move apart in strong E field. This flow of charge gives a generation current in -x direction as illustrated. Eqn given in image.
57
What are the n-type and p-type semiconductors given by?
58
From this, derive mu_h, mu_p.
59
Find the ntype and ptype chemical potentials. Use this to find the potential of the p-n junction. * called built in potential.
60
61
What is the recombanation current + eqn?
62
What is the recombination current + density eqn.
63
At equilibrium, what is the sum of generation and recombination current densities?
64
What happens when a forward bias is applied to a pn junction? Discuss Barrier, Movement of charges, Electric current.
- Applied voltage opposes internal potential DeltaPhi. Because the applied voltage pushes against internal field, tot potn barrier reduced from e DeltaPhi to e DeltaPhi - eV= e(Delta Phi - V). Movement of charge carriers: - Negative terminal repels electrons in n-type, pushing them toward junction, they have the energy to climb the lower barrier to the p-type region. - Positive terminal repels holes in p-type, pushing holes towards junction, where they can flow into the n-type region. - Net flow: Image shows net flow of electrons to left and holes to right. Electric current: Because electric current defined as flow of positive charge, both moving holes and electrons contribute to a single unigied electric current flowing from p to n-side. -Most electric potential is dropped moving across the high resistance depletion region.
65
66
67
68
Describe reverse bias.
Potential barrier: - Increases since the battery pulls carriers away from the junction TOT V = e(delta Phy + V). Movement of charge: - Electrons in n-type are pulled towards positve terminal, away from junction. - Holes in p-type are pulled towards -ve terminal, moving away from junction. Net effect: Widens depletion region, making depletion zone more resitive (higher potential required to cross). Electric current: Barrier is so high, current is effectively 0. - A tiny flow of current exists, this this the Generation current, which mostly is thermally-generated electron-hole pairs, which are swept across junction as they are 'falling down' rather than 'climbing' the potential. * Remember thermal energy KbT constantly creates electron-hole pairs in depletion region, once born, they find themselves in the midst of a strong potenital. Thermally generated Electrons see lower energy levels of n-type side, so 'roll down', holes are the opposite and want to 'float up' the slope towards p-type. * That's why its called generation current as it doesn't care about how high the potential is, only the rate they can be generated to produce new pairs.
69
What is net current density for forward bias??
Don't forget at equilibrium Jgen= Jrec.
70
71
72
What is a sound wave in a solid?
73
What can atom in a crystal do? What can we say the potential is for small amplitdue oscillations? What is the resoring force proportional to? What does the crystal behave as an array of?
74
Use the long wavelength limit to find the group velocity.
75
By considering forces on atoms, derive the frequency of oscillations of atoms within the crystals.
* F = -kx = - C x * for nth atom, need to consider force on both sides. Force acting ON nth atom: - Right hand force, when n+1 th atom moves further right, it strechtes the bond between them. This strech is towards the right (+ve direction) hence, F_R = C(u_n+1 - u_n). x= na for nth atom. Expect travelling wave solutions un(t) = u0 exp[i(kx-wt)].
76
Using Fig. 2.10 in the notes, estimate the speed of sound in germanium. Use Long wavelength limit Lambda>>a of w.
Kmax = 2pi/a given in figure.
77
Find the sound wave speed / group velocity for a wave in the short wavelength limit.
Remeber shortest wavelength possible in crystal occurs when k = pi/a [Brillouin limit]
78
79
Problem 6.1 Using Fig. 2.10 in the notes, estimate the speed of sound in germanium. 𝑎 = 0.566 nm.
80
Why do all solutions lay withing the first Brillouin zone?
81
82
With integration, how do we decide what to 'deal' with first/ deciding to deal with most 'difficult or messy' function. Look at either the denominator or numerator of this fraction? What should we decide to substitute for first? I.e. subbing in v = mu -E /KbT would make the exp term cleaner, but the sqrt term really messy.
83
84
State the coupled equations of motion for a diatomic chain of atoms? What are the wave solutions given by? What values can A and B take? [ u_n = A* ...., u_n+1/2 = B*...]
85
State the coupled equations of motion for a diatomic chain of atoms?
86
What is the acoustic range/mode? [-ve square root branch] Hint: Long wave limit. What is the group velocity in the acoustic range? What is the phase of adjacent atoms in the acoustic mode?
ADJACENT particles move almost IN PHASE.
87
What is the optical range/mode? [-ve square root branch] Hint: Long wave limit AND zone boundary [2 different answers] What is the group velocity in the optical range? What happens in the case of m1>>m2? What is the phase of adjacent atoms in the acoustic mode?
When m1>>m2, w(k) is almost flat for ALL k values. In the optical mode, adjacent atoms move in anti-phase.
88
What is the maximum magnitude of vibrational modes that correspond to k vectors?
89
90
Consider a 1D chain of atoms of length L with N atoms. Show that the total number of allowed states = N. This is for 1D. By considering a 3D crystal and polarisation, what is the total number of states for a 3D crystal?
Answer: 3N! NOT N!!!. 1. For a 1D chain (the case shown in the text) You have N atoms in a 1D chain. Each atom can only move longitudinally (along the chain direction). The number of allowed k-states (vibrational modes) in the first Brillouin zone = N. Therefore, number of modes in 1D N. ________________________________________ 2. For a real 3D crystal In a real crystal: The atoms are not constrained to move in 1D. For a given wavevector k (now a 3D vector), there are three possible polarizations: One longitudinal mode — atoms vibrate parallel to k. Two transverse modes — atoms vibrate perpendicular to k (two independent directions). Thus: Number of modes per k-state = 3. Total number of k-states in the first Brillouin zone = N (for a monatomic crystal with one atom per unit cell). Total vibrational modes = 3×N=3N.
91
Consider a 1D chain of atoms of length L with N atoms. Show that the total number of allowed states = N. This is for 1D. By considering a 3D crystal and polarisation, what is the total number of states for a 3D crystal?
92
See if your answer yields the same result when applying boundary condistions to a cube of side L and unit vectors j_x, j_y, j_z.
93
What is the 1D density of states g(k)? Next find the density of states in terms of angular frequency g(w). Where does the factor come from? Write g(w) as A* dk/dw, then as A* f(v) *n(l).
94
What is the 3D density of states g(k)? Next find the density of states in terms of angular frequency g(w). Where does the factor come from? Write g(w) as A* dk/dw, then as A* f(v) *n(l).
95
What is the energy of a harmonic oscillator? What is a phonon? What is the momentum of a phonon?
A phonon is a quantum of energy of a lattice vibration. They are quantised and given an energy allowed by the harmonic oscillator eqn. Periodic lattice quantised vibrations/phonons behave as if they have momentum p= hbar * k.
96
What is the energy of an INELASTICALLY scattered x-ray photon in which a phonon of wavevector K is absorbed or emitted?
* absorbed INCREASES energy, emitted DECREASES energyn.
97
98
What is the energy of an INELASTICALLY scattered x-ray photon in which a phonon of wavevector K is absorbed or emitted?
99
What is specifc heat formula? What if we treat the atoms of a solid as N independent 3D classical harmonic oscillators? [Find thermal energy and specific heat].
Cv = dU/dT!!
100
101
Given the Bose-Einstein distribution, produce an integral for the internal/thermal energy of a solid containing N atoms with 3 Polarisations. What is the integral of g(w) dw from 0 to inf?
Do NOT forget the 3 modes of polarisation getting 3N for a crystal/3D object! [Seen in previous flash card]. Note: To find the internal energy for particles with freq range dw dU = number of states * (avg number of photons of angular freq) * (hbar w) dU = g(w) * n(w) * hbaromega Note because of 0 point energy we add the 1/2 term to hbar w. dU = dU = g(w) * (n(w)+1/2) * hbaromega or can think of number of modes* (energy per mode) where energy per mode is the average occupation number n + 1/2. is average occupation number for frequency w.
102
Derive the thermal energy and heat capacity for a solid in the high temperature limit.
103
104
What freq. approximation do we use for the Debye model? ⟨n(ω)⟩=1/(e^(ℏω/k_B T)-1) (the Bose-Einstein distribution) ∫[0∞] x^4*e^x / (e^x−1)^2 dx=4π4/15 Note: Zero-point energy (1/2) ignored! No high temp approx! Guided: 1. Find 3D density of states g(w). 2. Find the MAXIMUM angular frequency, w_d (Debye Freq), do this by integrating to find the total number of states. 3. Find the internal/thermal energy (integral form). 4. Find the Heat capacity (int form). 5. Substitute a suitable dimensionless variable.
105
What freq. approximation do we use for the Debye model? Note: Zero-point energy (1/2) ignored! ⟨n(ω)⟩=1/(e^(ℏω/k_B T)-1) (the Bose-Einstein distribution) 1. Find 3D density of states g(w). 2. Find the MAXIMUM angular frequency, w_d (Debye Freq). 3. Find the internal/thermal energy (as an integral). 4. Find Heat capacity, integral form. 5. Substitute a suitable dimensionless variable.
106
What I got stuck on CW 4.
107
108