QUANT METHODS 1, 3 ... Flashcards

(224 cards)

1
Q

1.1 what is the Real risk-free rate?

A

Is a theoretical rate on a single-period loan that contains no expectation of inflation and zero probability of default.

Represents in economic terms the time preference, the degree to which current consumption is preferred to equal future consumption

How well did you know this?
1
Not at all
2
3
4
5
Perfectly
2
Q

1.1 What is the equilibrium interest rate?

A

Required rate of return for a particular investment

How well did you know this?
1
Not at all
2
3
4
5
Perfectly
3
Q

1.1 What is the Real interest rate?

A

An interest rate from which the inflation premium has been subtracted (nominal rate minus risk of inflation)

How well did you know this?
1
Not at all
2
3
4
5
Perfectly
4
Q

1.1 What is the Real rate of return?

A

Referring to an investor’s increase in purchasing power (after adjusting for inflation)

  • Because expected inflation in future periods is not zero, the rates we observe on U.S. Treasury bills (T-bills), for example, are essentially risk-free rates, but not real rates of return.
  • T-bill rates are nominal risk-free rates because they contain an inflation premium
How well did you know this?
1
Not at all
2
3
4
5
Perfectly
5
Q

1.1 what is the relationship between nominal risk-free rate, real risk-free rate, and expected inflation rate?

A

(1+nominal risk-free rate) = (1+real risk-free rate)(1+expected inflation rate)

OR MORE SIMPLY (and in the curriculum)

nominal risk-free rate =(squiggly) real risk-free rate + expected inflation rate

How well did you know this?
1
Not at all
2
3
4
5
Perfectly
6
Q

1.1 What are the three types of risk that may increase the required rate of return?

A

Default risk = the risk that a borrower will not make the promised payments in a timely manner

Liquidity risk = the risk of receiving less than fair value for an investment if it must be sold quickly for cash

Maturity risk = as we will see in the FI topic area, the prices of longer-term bonds are more volatile than those of short-term bonds. Longer-maturity bonds have more maturity risk than shorter-term bonds and require a maturity risk premium

SO nominal rate of interest = real risk-free rate + inflation premium + default risk premium + liquidity premium + maturity premium

How well did you know this?
1
Not at all
2
3
4
5
Perfectly
7
Q

1.1 What is HPR?

A

= The percentage increase in the value of an investment over a given period

How well did you know this?
1
Not at all
2
3
4
5
Perfectly
8
Q

1.1 What is the arithmetic mean return?

A

The simple average of a series of period returns.

How well did you know this?
1
Not at all
2
3
4
5
Perfectly
9
Q

1.1 What is the downside of arithmetic mean?

A

It does not reflect multi-period compounding.

Therefore it is most appropriate for single-period returns.

How well did you know this?
1
Not at all
2
3
4
5
Perfectly
10
Q

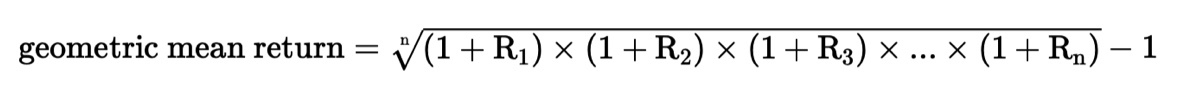
1.1 What is the geometric mean return?

A

It is a compound rate. when period rates of return vary from period to period, the geometric mean return will have a value less than the arithmetic mean return:

How well did you know this?
1
Not at all
2
3
4
5
Perfectly
11
Q

1.1 in the light of arithmetic mean’s shortcoming, why is geometric mean a good thing?

A

because it DOES reflect multi-period compounding

therefore it is most appropriate for average return over multiple periods

How well did you know this?
1
Not at all
2
3
4
5
Perfectly
12
Q

1.1 Fill the gap: The geometric mean is always ______ than or equal to the arithmetic mean

A

less

How well did you know this?
1
Not at all
2
3
4
5
Perfectly
13
Q

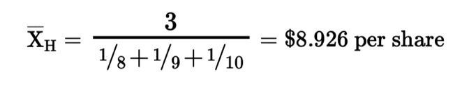
1.1 What is the harmonic mean?

A

Used for certain computations, such as the average cost of shares purchased over time.

But most typically used for calculating ratios. PE ratio etc.

Because of its formula, it gives a lower weight to extreme observations.

How well did you know this?
1
Not at all
2
3
4
5
Perfectly
14
Q

1.1 What is a caveat with the Harmonic mean and how is it overcome?

A

we can ONLY calculate a harmonic mean of positive numbers. For a set of returns that includes negative numbers, we can treat them in the same way we did with geometric means, using (1+return) for each period, then subtracting 1 from the result)

How well did you know this?
1
Not at all
2
3
4
5
Perfectly
15
Q

1.1 Describe an equation that links the arithmetic mean, harmonic mean, and geometric mean

A
How well did you know this?
1
Not at all
2
3
4
5
Perfectly
16
Q

1.1 What is the trimmed or winsorized mean?

A

The trimmed mean removes the highest and lowest values from a dataset, while the winsorized mean replaces them with the next-closest values

How well did you know this?
1
Not at all
2
3
4
5
Perfectly
17
Q

1.1 Summarise the appropriate uses for each type of mean calculation

A
  • Arithmetic mean - include all values, including outliers
  • Geometric mean - compound the rate of returns over multiple periods
  • Harmonic mean - calculate the average share cost from periodic purchases in a fixed money amount
  • Trimmed or winsorized mean - decrease the effect of outliers
How well did you know this?
1
Not at all
2
3
4
5
Perfectly
18
Q

1.1 What is the most appropriate method when calculating mean annual return

A

Geometric mean, because returns are compounded

How well did you know this?
1
Not at all
2
3
4
5
Perfectly
19
Q

1.2 What is the Money-weighted return?

A

The Money-weighted return applies the concept of the internal rate of return (IRR) to investment portfolios. An IRR is the interest rate at which a series of cash inflows and outflows sum to zero when discounted to their present value. That is, they have a net present value (NPV) of zero.

The money-weighted rate of return is defined as IRR on a portfolio, taking into account all cash inflows and outflows. The beginning value of the account is an inflow, as are all deposits into the account. All withdrawals from the account are outflows, as is the ending value. (the specific application of IRR to a portfolio)

How well did you know this?
1
Not at all
2
3
4
5
Perfectly
20
Q

1.2 What is the formula for money-weighted return?

A

Is an IRR calculation. Set to NPV of 0. THIS DOES REFLECT THE SIZE OF THE FUND

How well did you know this?
1
Not at all
2
3
4
5
Perfectly
21
Q

1.2 When solving for MWR (IRR) how can e answer this question in the exam by trial and error?

A

Use on of the answers they give you - normally the middle one. If it equals 0, it is right, if not, does it need to be higher or lower?

How well did you know this?
1
Not at all
2
3
4
5
Perfectly
22
Q

1.2 What is the Time-weighted rate of return?

A

Measures compound growth and is the rate at which $1 compounds over a specified performance horizon. Time-weighting is the process of averaging a set of values over time. The annual time-weighted return for an investment may be computed by performing the following steps:

CRUCIALLY - IT DOES NOT REFFLECT THE SIZE OF THE FUND.

How well did you know this?
1
Not at all
2
3
4
5
Perfectly
23
Q

1.2 How is Time-weighted rate of return calculated? (step by step)

A
How well did you know this?
1
Not at all
2
3
4
5
Perfectly
24
Q

1.2 What is the formula we can use for TWR?

A

Essentially geometric mean int he way that it is calculated

How well did you know this?
1
Not at all
2
3
4
5
Perfectly
25
1.2 Which measure for return do PMs usually prefer?
NOTE - the time-weighted rate of return is not affected by the timing of cash inflows and outflows. in the IM industry, time-weighted return is the preferred method of performance measurement because PMs typically do not control the timing of deposits to and withdrawals from the accounts they manage If funds are contributed to an investment portfolio just before a period of relatively poor portfolio performance, the money-weighted rate of return will tend to be lower than the time-weighted rate of return. On the other hand, if funds are contributed to a portfolio at a favorable time (just before a period of relatively high returns), the money-weighted rate of return will be higher than the time-weighted rate of return. The use of the time-weighted return removes these distortions, and thus provides a better measure of a manager's ability to select investments over the period. If the manager has complete control over money flows into and out of an account, the money-weighted rate of return would be the more appropriate performance measure.
26
1.3 What is the formula for annualised return?
Interest rates and market returns are typically stated as annualised returns, regardless of the actual length of the time period over which they occur To annualise an HPR that is realised over a specific number of days, use the following formula:
27
1.3. what is non-annual compounding?
DOES NOT REFLECT COMPOUNDING. if we wanted to compound - (1 + semi-annual rate) ^2 then -1.
28
1.3 What is the EAR (Effective Annual Rate) if given a stated/quoted interest rate?
If an interest rate is stated as 8% per year, compounded semi-annually, for example: You compound by 4% twice. so do 1 (x1.04), then ans (x1.04) = 1.0816 -1 = 8.16%. (look at formula) So EAR = 8.16%
29
1.3 What is the formula for Continuously Compounded rates?
Showcases how EAR increases in marginally smaller increments. If we tend toward infinity - we can find a ceiling to EAR. Make sure to decimalise Rcc when calculating.
30
1.3 how do we solve for the quoted continuously compounded rates given actual HPRs?
taking logs of each side of the previous equation
31
1.3 Why may it be useful to use continuously compounded returns?
1. They are additive over multiple periods 2. e^Rcc can be used as a multiplying and a discounting factor - ease
32
1.3 What is the formula for the present value of a future cash flow:
33
1.3 What formula can you use to calculate continuously compounded returns
and note: the periods are additive. therefore CC return from t=0 to t=1, and t=1 to t=2, is the same as t=0 to t=2 when added.
34
1.3 What is the gross return?
Gross return refers to the total return on a security portfolio before deducting fees for the management and administration of the investment account. Net return refers to the return after these fees have been deducted. Commissions on trades and other costs that are necessary to generate the investment returns are deducted in both gross and net return measures.
35
1.3 What is Pretax nominal return?
Pretax nominal return refers to the return before paying taxes. Dividend income, interest income, short-term capital gains, and long-term capital gains may all be taxed at different rates.
36
1.3 What is After-tax nominal return?
After-tax nominal return refers to the return after the tax liability is deducted.
37
1.3 What is real return?
Real return is nominal return adjusted for inflation. Consider an investor who earns a nominal return of 7% over a year when inflation is 2%. The investor's approximate real return is simply 7 − 2 = 5%. The investor's exact real return is slightly lower: 1.07 / 1.02 − 1 = 0.049 = 4.9%.
38
1.3 How can we exactly calculate real return?
39
1.3 What does Real return measure?
Real return measures the increase in an investor's purchasing power—how much more goods she can purchase at the end of one year due to the increase in the value of her investments.
40
1.3 What is a leveraged return?
A leveraged return refers to a return to an investor that is a multiple of the return on the underlying asset. The leveraged return is calculated as the gain or loss on the investment as a percentage of an investor's cash investment. An investment in a derivative security, such as a futures contract, produces a leveraged return because the cash deposited is only a fraction of the value of the assets underlying the futures contract. Leveraged investments in real estate are common: investors pay only a portion of a property's cost in cash and borrow the rest.
41
1.3 What is a formula for calculating leveraged return?
Vo = the amount the fund can invest without leverage Vb = the amount the fund can borrow rb = interest rate of the borrowed money r = amount earns by investing the proceeds of the leveraged money
42
1.3 Different formula for leveraged returns?:
OR do can do Rl = (Rp x Va) - (Rd x Vb) then /2
43
3.1 What are measures of central tendency? And a prominent example.
Measures of central tendency identify the center, or average, of a dataset. This central point can then be used to represent the typical, or expected, value in the dataset. The arithmetic mean is the sum of the observation values divided by the number of observations. It is the most widely used measure of central tendency.
44
3.1 What is a sample mean?
An example of an arithmetic mean is a sample mean, which is the sum of all the values in a sample of a population, ΣX, divided by the number of observations in the sample, n. It is used to make inferences about the population mean. The sample mean is expressed as follows:
45
3.1 What is the median?
The median is the midpoint of a dataset, where the data are arranged in ascending or descending order. Half of the observations lie above the median, and half are below. To determine the median, arrange the data from the highest to lowest value, or lowest to highest value, and find the middle observation. The median is important as the mean can be much affected by outliers, take the middle number, if even, take the mean of the middle two numbers.
46
3.1 What is the mode? And what does it mean to be unimodal, bimodal, or trimodal?
The mode is the value that occurs most frequently in a dataset. A dataset may have more than one mode, or even no mode. When a distribution has one value that appears most frequently, it is said to be unimodal. When a dataset has two or three values that occur most frequently, it is said to be bimodal or trimodal, respectively.
47
3.1 What are two methods for dealing with outliers?
Trimmed mean, winsorized mean
48
3.1 What is the trimmed mean?
A trimmed mean excludes a stated percentage of the most extreme observations. A 1% trimmed mean, for example, would discard the lowest 0.5% and the highest 0.5% of the observations.
49
3.1 What is a winsorized mean?
Instead of discarding the highest and lowest observations, we substitute a value for them. To calculate a 90% winsorized mean, for example, we would determine the 5th and 95th percentile of the observations, substitute the 5th percentile for any values lower than that, substitute the 95th percentile for any values higher than that, and then calculate the mean of the revised dataset.
50
3.1 What is a quantile + examples?
Quantile is the general term for a value at or below which a stated proportion of the data in a distribution lies. Examples of quantiles include the following: - Quartile. The distribution is divided into quarters. - Quintile. The distribution is divided into fifths. - Decile. The distribution is divided into tenths. - Percentile. The distribution is divided into hundredths (percentages).
51
3.1 what is the Interquartile range?
The difference between the third quartile and the first quartile (25th percentile) is known as the interquartile range.
52
3.1 What is a box and whisker plot?
To visualize a dataset based on quantiles, we can create a box and whisker plot. In a box and whisker plot, the box represents the central portion of the data, such as the interquartile range. The vertical line represents the entire range.
53
3.1 How can the Box and whisker Plot be adjusted to show for outliers?
Can add 'fences' that are positioned at 1.5x the IQR of the data
54
3.1 What is 'dispersion'?
Dispersion is defined as the variability around the central tendency. The common theme in finance and investments is the tradeoff between reward and variability, where the central tendency is the measure of the reward and dispersion is a measure of risk.
55
3.1 What is the range?
range = maximum value − minimum value
56
3.1 What is the mean absolute deviation?
The mean absolute deviation (MAD) is the average of the absolute values of the deviations of individual observations from the arithmetic mean: The computation of the MAD uses the absolute values of each deviation from the mean because the sum of the actual deviations from the arithmetic mean is zero. Absolute is SIZE (rather than sign) HELP TO REMEMBER
57
3.1 What is the sample variance?
The sample variance, s2, is the measure of dispersion that applies when we are evaluating a sample of n observations from a population. The sample variance is calculated using the following formula: REMEMBER THE (N - 1) Normally have to square route to get back to sample standard deviation.
58
3.1 What is the sample standard deviation?
The sample standard deviation is the square root of the sample variance. The sample standard deviation, s, is calculated as follows:
59
3.1 What is relative dispersion?
Relative dispersion is the amount of variability in a distribution around a reference point or benchmark.
60
3.1 What is the coefficient of variation?
Relative dispersion is the amount of variability in a distribution around a reference point or benchmark. Relative dispersion is commonly measured with the coefficient of variation (CV), which is computed as follows: CV measures the amount of dispersion in a distribution relative to the distribution's mean. This is useful because it enables us to compare dispersion across different sets of data. In an investments setting, the CV is used to measure the risk (variability) per unit of expected return (mean). A lower CV is better. ULTIMATELY - CV IS VARIATION PER UNIT OF RETURN YOU WOULD PREFER THE LOWER CV
61
3.1 What is downside risk?
When we use variance or standard deviation as risk measures, we calculate risk based on outcomes both above and below the mean. In some situations, it may be more appropriate to consider only outcomes less than the mean (or some other specific value) in calculating a risk measure. In this case, we are measuring downside risk.
62
3.1 What is target downside deviation? (Also known as target semideviation).
One measure of downside risk is target downside deviation, which is also known as target semideviation. Calculating target downside deviation is similar to calculating standard deviation, but in this case, we choose a target value against which to measure each outcome and only include deviations from the target value in our calculation if the outcomes are below that target.
63
3.1 What is the formula for calculating target downside standard deviation?
In the data, just ignore all returns that are above the target (eg all data points above 3% return) With the remainder, take the data point and subtract the target, use this summation in the equation.
64
3.2 What is Skewness, or skew?
Skewness or skew, refers to the extent to which a distribution is not symmetrical. Nonsymmetrical distributions may be either positively or negatively skewed and result from the occurrence of outliers in the dataset.
65
3.2 What is an outlier?
Outliers are observations extraordinarily far from the mean, either above or below:
66
3.2 What is a positively skewed distribution?
A positively skewed distribution is characterized by outliers greater than the mean (in the upper region, or right tail). A positively skewed distribution is said to be skewed right because of its relatively long upper (right) tail.
67
3.2 What is a negatively skewed distribution?
A negatively skewed distribution has a disproportionately large amount of outliers less than the mean that fall within its lower (left) tail. A negatively skewed distribution is said to be skewed left because of its long lower tail.
68
3.2 How are the mean, median, and mode, related to each other in a symmetrical distribution?
For a symmetrical distribution, the mean, median, and mode are equal.
69
3.2 How are the mean, median, and mode, related to each other in a positively skewed distribution?
For a positively skewed, unimodal distribution, the mode is less than the median, which is less than the mean. The mean is affected by outliers; in a positively skewed distribution, there are large, positive outliers, which will tend to pull the mean upward, or more positive.
70
3.2 How are the mean, median, and mode, related to each other in a negatively skewed distribution?
For a negatively skewed, unimodal distribution, the mean is less than the median, which is less than the mode. In this case, there are large, negative outliers that tend to pull the mean downward (to the left).
71
3.2 How do we calculate the sample skewness?
Sample skewness is equal to the sum of the cubed deviations from the mean divided by the cubed standard deviation and by the number of observations. Sample skewness for large samples is approximated as follows:
72
3.2 Once calculated, what does the number delivered form the sample skewness formula tell us?
Note that the denominator is always positive, but that the numerator can be positive or negative depending on whether observations above the mean or observations below the mean tend to be farther from the mean, on average. When a distribution is right skewed, sample skewness is positive because the deviations above the mean are larger, on average. A left-skewed distribution has a negative sample skewness. If 0 - it is not skewed
73
3.2 What is kurtosis?
Kurtosis is a measure of the degree to which a distribution is more or less peaked than a normal distribution. It is critical in a risk management setting. Most research about the distribution of securities returns has shown that returns are not normally distributed. Actual securities returns tend to exhibit both skewness and kurtosis. Skewness and kurtosis are critical concepts for risk management because when securities returns are modeled using an assumed normal distribution, the predictions from the models will not take into account the potential for extremely large, negative outcomes.
74
3.2 Normal distribution has a kurtosis (when you calculate it) of...
3
75
3.2 What is Leptokurtic?
Leptokurtic describes a distribution that is more peaked than a normal distribution. We don't like this as there are bigger outliers on both sides. Less chance of a mean sized deviation from the mean. Kurtosis > 3
76
3.2 What is Platykurtic?
platykurtic refers to a distribution that is less peaked, more domed, or flatter than a normal one. (with thinner tails - so prefer) LOOKS LIKE A PLATYPUS BILL. Kurtosis < 3
77
3.2 What is Mesokurtic?
A distribution is mesokurtic if it has the same kurtosis as a normal distribution.
78
3.2 What does it mean for a distribution to exhibit excess kurtosis?
A distribution is said to exhibit excess kurtosis if it has either more or less kurtosis than the normal distribution. Excess kurtosis = kurtosis -3
79
3.2 How much is the kurtosis of all normal distributions when computed? And how does this affect how it is reported?
The computed kurtosis for all normal distributions is three. Statisticians, however, sometimes report excess kurtosis, which is defined as kurtosis minus three. Thus, a normal distribution has excess kurtosis equal to zero, a leptokurtic distribution has excess kurtosis greater than zero, and platykurtic distributions will have excess kurtosis less than zero.
80
3.2 How is sample kurtosis for large samples calculated?
Sample kurtosis for large samples is approximated using deviations raised to the fourth power:
81
3.2 What is a scatter plot?
Scatter plots are a method for displaying the relationship between two variables. With one variable on the vertical axis and the other on the horizontal axis, their paired observations can each be plotted as a single point.
82
3.2 What is a key advantage of scatter graphs?
A key advantage of creating scatter plots is that they can reveal nonlinear relationships, which are not described by the correlation coefficient. Panel C illustrates such a relationship. Although the correlation coefficient for these two variables is close to zero, their scatter plot shows clearly that they are related in a predictable way.
83
3.2 What is Covariance?
Covariance is a measure of how two variables move together. BUT KEEP IN MIND In practice, the covariance is difficult to interpret. The value of covariance depends on the units of the variables. The covariance of daily price changes of two securities priced in yen will be much greater than their covariance if the securities are priced in dollars. Like the variance, the units of covariance are the square of the units used for the data. AND we cannot interpret the relative strength of the relationship between two variables.
84
3.2 What is the sample covariance formula?
85
3.2 What is the problem with calculating covariance?
The answer does not tell us much, can be any number. We just need to see if positive or negative to see if they mope with each other positively or negatively. This is why we use correlation.
86
3.2 What is correlation?
A standardized measure of the linear relationship between two variables is called the correlation coefficient, or simply correlation.
87
3.2 What is the correlation formula?
in other words: correlation = covariance/SDX*SDY
88
3.2 Please describe some properties of the correlation of two variables:
1. Correlation measures the strength of the linear relationship between two random variables. 2. Correlation has no units. 3. The correlation ranges from –1 to +1. That is, –1 ≤ ρXY ≤ +1. 4. If ρXY = 1.0, the random variables have perfect positive correlation. This means that a movement in one random variable results in a proportional positive movement in the other relative to its mean. 5. If ρXY = –1.0, the random variables have perfect negative correlation. This means that a movement in one random variable results in an exact opposite proportional movement in the other relative to its mean. 6. If ρXY = 0, there is no linear relationship between the variables, indicating that prediction of Y cannot be made on the basis of X using linear methods.
89
3.2 What is spurious correlation?
Spurious correlation refers to correlation that is either the result of chance or present due to changes in both variables over time that is caused by their association with a third variable. For example, we can find instances where two variables that are both related to the inflation rate exhibit significant correlation, but for which causation in either direction is not present. EG: In his book Spurious Correlation,1 Tyler Vigen presents the following examples. The correlation between the age of each year's Miss America and the number of films Nicolas Cage appeared in that year is 87%.
90
4.1 Wha is a discrete probability distribution?
There are a finite number of outcomes
91
4.1 What is the expected value? (of a random variable)
The expected value of a random variable is the probability weighted average of the possible outcomes for the variable. The mathematical representation for the expected value of random variable X, that can take on any of the values from x1 to xn, is:
92
4.1 What is a probability tree?
A general framework, called a probability tree, is used to show the probabilities of various outcomes.
93
4.1 What are conditional expected values?
As the name implies, conditional expected values are contingent on the outcome of some other event. An analyst would use a conditional expected value to revise his expectations when new information arrives.
94
4.1 What is Bayes' formula used for?
Bayes' formula is used to update a given set of prior probabilities for a given event in response to the arrival of new information.
95
4.1 What is Bayes' formula? (words)
96
4.1 When simplified, what is Bayes' formula reduced to?
97
5.1 Formula for the expected return of a portfolio:
98
5.1 What is the weight of an asset within the portfolio? Formula:
99
5.1 What is the formula for Expected Return of a portfolio of two assets?
Just weighted return
100
5.1 What is the formula for portfolio variance (and a way of remembering it)?
and then imagine the maths of just squaring added numbers. variance is an averaged squared distance. (weightA*sigmaA + weightB*sigmaB) if this is squared, remember the way two brackets are multiplied. so then just add the 'Rho' (correlation coefficient) to the doubled part in the middle. Then remember the relationship between correlation and covariance.
101
5.1 How does this work for 3 assets? (portfolio variance)
102
5.1 What is the formula for covariance between the return of two assets? (expected)
103
5.1 What is the formula for a sample covariance for a sample of returns data?
104
5.1 What does a covariance matrix look like, and what is the value of the covariance down the diagonal?
the variance. and note - covariance does not depend on order.
105
5.1 What is the formula for the portfolio variance?
All variations of the two
106
5.1 What is joint probability?
The probability of two things happening at once
107
5.1 What is a joint probability function for returns? Show me what it looks like
108
5.1 Once in the joint probability function of returns - what do we need to do to calculate the covariance of asset A and asset B?
1. calculate expected values 2. use the attached table to calculate each of the covariances under each probability 3. add the together
109
5.1 What are the key distances in a. normal distribution?
it is 1.96 standard deviations - rounded to 2 here Area under the graph is a confidence level NOTE ALSO - if 5% tail, then from middle is 1.65 sd
110
5.1 List of standard deviation distances for tail sizes in a normal distribution
LEARN
111
5.1 If given the question 'calculate a 95% confidence interval for the next year's return' given a mean annual return and standard deviation, how would you do it?
112
5.1 what is a z-value?
number of standard deviations we need to go to capture the confidence level %. this distance is referred to as a z value
113
5.1 What is a standard normal distribution?
a normal distribution that has been standardised so that mean = 0 and standard deviation = 1
114
5.1 What is the formula for calculating z value?
NOTE - this is with the backdrop of being a standard normal distribution. So our calculation is translated into this model when calculating the z value.
115
5.1 What is shortfall risk?
Shortfall risk is the probability that a portfolio value or return will fall below a particular target value or return over a given period.
116
5.1 What is Roy's safety-first criterion?
Roy's safety-first criterion states that the optimal portfolio minimizes the probability that the return of the portfolio falls below some minimum acceptable level. This minimum acceptable level is called the threshold level.
117
5.1 Symbolically, how can Roy's safety-first criterion be stated?
Also think about it like the calculation of a z value
118
5.1 If portfolio returns are normally distributed, how can Roy's safety-first criterion be stated? (clue: SFR)
119
5.1 What are the two steps for choosing among portfolios with normally distributed returns using Roy's safety-first criterion?
But then after the largest ratio has been chosen, this needs to be used in the z-table of negative values to find the percentage value that represents the shortfall risk of a portfolio.
120
6.1 What is a lognormal distribution?
replace this with 'log is normal' in your head. So random variable Y is lognormal is ln(Y) is normal. It is used to model price 'relatives': (Pt/Po)
121
6.1 Please explain the relationship between HPR and the modelling of price relatives on a lognormal distribution.
because Pt/Po is the price in future over the price today, this is equal to 1 + HPR (as covered previously). therefore, ln(Y) = ln (Pt/Po) = ln(1 + HPR) = Rcc (continuously compounding returns = NORMAL DSTRIBTUION so LOGARITHM OF YOUR PRICE RELATIVE IS YOUR CONTINUOUSLY COMPOUNDED RETURNS
122
6.1 Describe the visual difference between a normal and lognormal distribution:
Lognormal is always positive and positively skewed
123
6.1 What do we use the lognormal distribution for?
The lognormal distribution is useful for modeling asset prices if we think of an asset's future price as the result of a continuously compounded return on its current price.
124
6.1 how can we model asset prices if we think of an asset's future price as the result of a continuously compounded return on its current price?
125
6.1 How do we scale volatility?
Scale up by the square root of time.
126
6.1 How would you do this: "daily volatility of FTSE100 index returns is estimated to be 0.86%. Calculate the annualised estimated volatility of FTSE 100 returns assuming 250 trading days in the year."
127
6.1 What is a Monte Carlo simulation?
Monte Carlo simulation is a technique based on the repeated generation of one or more risk factors that affect security values to generate a distribution of security values. For each of the risk factors, the analyst must specify the parameters of the probability distribution that the risk factor is assumed to follow. A computer is then used to generate random values for each risk factor based on its assumed probability distributions. Each set of randomly generated risk factors is used with a pricing model to value the security. This procedure is repeated many times (100s, 1,000s, or 10,000s), and the distribution of simulated asset values is used to draw inferences about the expected (mean) value of the security—and possibly the variance of security values about the mean as well.
128
6.1 What is the Monte Carlo simulation used for?
1. Value complex securities. 2. Simulate the profits/losses from a trading strategy. 3. Calculate estimates of value at risk (VaR) to determine the riskiness of a portfolio of assets and liabilities. 4. Simulate pension fund assets and liabilities over time to examine the variability of the difference between the two. 5. Value portfolios of assets that have nonnormal return distributions.
129
6.1 What are the advantages and limitations of the Monte Carlo simulation?
An advantage of Monte Carlo simulation is that its inputs are not limited to the range of historical data. This allows an analyst to test scenarios that have not occurred in the past. The limitations of Monte Carlo simulation are that it is fairly complex and will provide answers that are no better than the assumptions about the distributions of the risk factors and the pricing/valuation model that is used. Also, simulation is not an analytic method, but a statistical one, and cannot offer the insights provided by an analytic method.
130
6.1 What is resampling?
Resampling is another method for generating data inputs to use in a simulation. Often, we do not (or cannot) have data for a population, and can only approximate the population by sampling from it. (For example, we may think of the observed historical returns on an investment as a sample from the population of possible return outcomes.) To conduct resampling, we start with the observed sample and repeatedly draw subsamples from it, each with the same number of observations. From these samples, we can infer parameters for the population, such as its mean and variance.
131
6.1 What is bootstrap resampling?
In bootstrap resampling, we draw repeated samples of size n from the full dataset, replacing the sampled observations each time so that they might be redrawn in another sample. We can then directly calculate the standard deviation of these sample means as our estimate of the standard error of the sample mean.
132
6.1 Why is bootstrap resampling different from the Monte Carlo simulation?
Simulation using data from bootstrap resampling follows the same procedure as Monte Carlo simulation. The difference is the source and scope of the data. For example, if a simulation uses bootstrap resampling of historical returns data, its inputs are limited by the distribution of actual outcomes.
133
7.1 What is probability sampling?
Probability sampling refers to selecting a sample when we know the probability of each sample member in the overall population.
134
7.1 What is random sampling?
With random sampling, each item is assumed to have the same probability of being selected.
135
7.1 What is simple random sampling?
If we have a population of data and select our sample by using a computer to randomly select a number of observations from the population, each data point has an equal probability of being selected—we call this simple random sampling. If we want to estimate the mean profitability for a population of firms, this may be an appropriate method.
136
7.1 What is nonprobablity sampling?
Nonprobability sampling is based on either low cost and easy access to some data items, or on using the judgment of the researcher in selecting specific data items. Less randomness in selection may lead to greater sampling error.
137
7.1 What is systematic sampling?
Another way to form an approximately random sample is systematic sampling—selecting every nth member from a population.
138
7.1 What is stratified random sampling?
Stratified random sampling uses a classification system to separate the population into smaller groups based on one or more distinguishing characteristics. From each subgroup, or stratum, a random sample is taken and the results are pooled. The size of the samples from each stratum is based on the size of the stratum relative to the population. Stratified sampling is often used in bond indexing because of the difficulty and cost of completely replicating the entire population of bonds. In this case, bonds in a population are categorized (stratified) according to major bond risk factors such as duration, maturity, coupon rate, and the like. Then, samples are drawn from each separate category and combined to form a final sample.
139
7.1 what is cluster sampling?
Cluster sampling is also based on subsets of a population, but in this case, we are assuming that each subset (cluster) is representative of the overall population with respect to the item we are sampling. For example, we may have data on personal incomes for a state's residents by county. The data for each county is a cluster.
140
7.1 What is one-stage cluster sampling?
In one-stage cluster sampling, a random sample of clusters is selected, and all the data in those clusters comprise the sample.
141
7.1 what is a two-stage cluster sampling?
In two-stage cluster sampling, random samples from each of the selected clusters comprise the sample. Contrast this with stratified random sampling, in which random samples are selected from every subgroup.
142
7.1 what is convenience sampling?
Convenience sampling refers to selecting sample data based on ease of access, using data that are readily available. Because such a sample is typically not random, sampling error will be greater. An analyst should initially look at the data before adopting a sampling method with less sampling error.
143
7.1 What is judgemental sampling?
Judgmental sampling refers to samples for which each observation is selected from a larger dataset by the researcher, based on one's experience and judgment. As an example, a researcher interested in assessing company compliance with accounting standards may have experience suggesting that evidence of noncompliance is typically found in certain ratios derived from the financial statements. The researcher may select only data on these items. Researcher bias (or simply poor judgment) may lead to samples that have excessive sampling error. In the absence of bias or poor judgment, judgmental sampling may produce a more representative sample or allow the researcher to focus on a sample that offers good data on the characteristic or statistic of interest.
144
7.1 What is the central limit theorem?
AND - The bigger the sample size, the lower the dispersion of the sample mean around the true population mean. it is a direct relationship. NORMAL DISTRIBUTION. Dispersion of this is the SIGMAsquared / n (variance/n). So this is the variance of Xbar.
145
7.1 What is the difference between the sample statistic and the true population parameter? eg:
This is the sampling error. The sample statistic (eg sample mean) will bounce around the population mean, and will have a certain volatility as well. remember the video example of the dice averaging. The sample means generated will jump around a distribution with the true population mean in the centre.
146
7.1 What is the Standard error of the Sample mean?
The standard deviation of the distribution of sample means (Xbar) is called the standard error of the sample mean. Often, the true population standard deviation is not known. In these cases, we use the sample standard deviation.
147
7.1 What is the relationship between n and the SE of the sample mean?
As n increases, SExbar goes down. If you have more data, more accuracy.
148
7.1 Standard deviation vs. Standard error
- SD is the dispersion of a single observation, X, from a distribution. - SE, is the dispersion of the sample mean around the distribution's true population mean, mui
149
7.1 How can our knowledge of the characteristics of normal distributions translate to the Xbar dispersion?
CONFIDENCE INTERVALS work in the same way here.
150
7.1 example of previous card
151
7.1 Describe how and why we use the Student's t-distribution in calculating confidence intervals?
When standard deviation of the true population is not known, we use Sx in the calculation of SE. Sample mean follows the t-distribution instead of a normal distribution (with degrees of freedom n-1) Therefore, instead of 1.96, we use the t-distribution critical value instead of z-distribution to calculate the confidence interval.
152
7.1 Properties of Student's t-distribution (4 points)
- symmetrical (bell shaped) - fatter tails than a normal distribution - defined by a single parameter, degrees of freedom (df) , where df = n - 1 - as df increases, t-distribution approaches standard normal distribution Notice - how on the t-stat table, as the df increase, it falls towards the z-value of normal distribution.
153
7.1 When can you use z-values when calculating confidence intervals of sample mean?
IF n is larger or equal to 30. BUT AS AN APPROXIMATION.
154
7.1 Confidence intervals for mean - table to remember.
155
7. What is resampling? And provide to examples:
Computational methods to estimate the standard error of the sample mean include the following: - Bootstrapping - Jackknife
156
7. What is Bootstrapping resampling?
resampling from original with replacement of items when drawn, calculating the sample mean each time; calculate the sample standard decision of these sample means (which would be the standard error).
157
7. What is Jackknife resampling?
Calculate multiple sample means, each with one observation removed; calculate standard deviation of these means.
158
7. Example of bootstrapping
159
8.1 What is a hypothesis?
A hypothesis is a statement about the value of a population parameter developed for the purpose of testing a theory or belief. Hypotheses are stated in terms of the population parameter to be tested, like the population mean, µ.
160
8.1 What is the hypothesis testing procedure?
161
8.1 what is the null hypothesis?
The null hypothesis, designated H0, is the hypothesis that the researcher wants to reject. It is the hypothesis that is actually tested and is the basis for the selection of the test statistics. The null is generally stated as a simple statement about a population parameter. It always includes the 'equal to' condition
162
8.1 What is the alternative hypothesis?
The alternative hypothesis, designated Ha, is what is concluded if there is sufficient evidence to reject the null hypothesis and is usually what you are really trying to assess. Why? You can never really prove anything with statistics—when the null hypothesis is discredited, the implication is that the alternative hypothesis is valid.
163
8.1 What is the decision rule?
If the test statistic falls outside the critical z-values, then the null hypothesis is rejected. if it falls within, we fail to reject the null hypothesis. Hypothesis testing involved two statistics: 10 the test statistic calculated from the sample data, and 2) the critical value of the test statistic.
164
8.1 What are the critical values I need to remember for hypothesis testing?
165
8.1 What is a test statistic?
A test statistic is calculated by comparing the point estimate of the population parameter with the hypothesized value of the parameter (i.e., the value specified in the null hypothesis). As indicated in the following expression, the test statistic is the difference between the sample statistic and the hypothesized value, scaled by the standard error of the sample statistic:
166
8.1 What are the four distributions for test statistics?
- t-distribution - z-distribution (standard normal distribution) - chi-square distribution - f-distribtuion
167
8.1 what are type I and type II hypothesis testing errors?
168
8.1 What is the power of a test?
The power of a test is the probability of correctly rejecting the null hypothesis when it is false. 1 - P(Type II error)
169
8.1 Table of type I and II Errors in Hypothesis Testing.
170
8.1 What is a p-value?
Is the probability of obtaining a test statistic that would lead to a rejection of the null hypothesis, assuming the null hypothesis is true. It is the smallest level of significance for which the null hypothesis can be rejected.
171
8.1 Two-tailed test characteristics
172
8.1 What is a p-value?
The p-value of a test is the probability of getting the test statistic (or a result more extreme) if the null were true. p-value < significance level -> REJECT (MOST IMPORTANT IDEA) A p-value is the smallest level of significance at which the null can be rejected. (I think this makes things confusing but is common sense - look at pic)
173
8.2 When hypothesis testing for the difference between means, what is the equation for the test-statistic? (plus explain it)
Remember the s2p is calculated with the formula that s1squared = sum of deviations squared / n-1 So the numerator of s2p is sum of squared deviation of both samples, over the denominator of both degrees of freedom added !
174
8.2 What null and alternative hypothesis should you apply to the below question?
Ho: mean1 - mean2 = 0 Ha: mean1 - mean2 =(with cross) 0
175
8.2 FOR CLARITY ON TESTS: what are the two approaches to hypothesis testing
A. p-value vs significance level In this approach, we compare the p-value computed from the data, and the significance level in the question This approach emphasises the strength of evidence B. Test statistic vs critical value (e.g. z = 1.96) In this approach, you compare the test-statistic with the critical value form the sampling distribution. If the test statistic falls in the rejection region (e.g. |z| > 1.96) we reject null hypothesis. The critical value defines a boundary beyond which results are considered too extreme under Ho. SUMMARY: Comparing to 0.05 and comparing to 1.96 are two ways of expressing the same decision—one in terms of probability (p-value), the other in terms of distance from the null (test statistic).
176
8.3 What is the t-stat formula for the test statistic when we Test for the Mean Difference between Dependent samples from related distributions?
(eg. same people taking same test but under different conditions) d(bar) is the mean of all the differences between the two samples. SE of differences (the denominator) is calculated in the exact same way as the sample mean SE)
177
8.4 Testing a Single Variance Formula (hypothesis testing). What is the t-stat formula?
Testing how much squared deviation we have in our distribution. Hypothesis would relate to a hypothesised level of a true blue variance within the distribution. Numerator = sum of squared deviations Chi-square distribution, does not go below zero (because variance won't)
178
REMEMBER: critical values come from a table, test statistics come from a calculation!!!!
179
8.5 Testing Two Variances (hypothesis testing) (more straightforward one)
Hypothesis relates to the ratio of variances Follows F-distribution (2 degrees of freedom) n1 - 1 degrees of freedom on numerator and n2 - 1 on the denominator
180
8. What is a Parametric / Nonparametric test?
Everything so far has been parametric
181
9.1 What is the t-stat formula for the parametric test of correlation?
Basically testing whether the population correlation coefficient is different from zero (so testing for any correlation)
182
9.1 Why in the parametric test of correlation do we have n-2 degrees of freedom?
because when calculating correlation, we base this on covariance. and when calculating covariance, we fix xbar and ybar. Each loses a degree of freedom.
183
9.2 What is the Spearman rank correlation test?
Whether two sets of ranks are correlated. This is used in the Non-parametric test: rank correlation This finds the correlation number r that we can then use in our test statistic formula that we used before.
184
9.2 When r is found using the spearman rank correlation test, how do we find a solution (performing the test of independence on the data?)
1. Find critical value in a t-table 2. Calculate t-stat
185
9.3 What is a contingency table?
A way to store categorical data
186
9.3 In a contingency table, what is the formula to find the expected value within the table IF the value is independent?
187
9.3 What is the t stat formula for a contingency table (when calculating whether the observed value is statistically significant from the expected value)?
Sum of every cell and sum - for a chi squared statistic
188
9.3 How many degrees of freedom would we have in a contingency table?
rows and columns
189
9.3 How do we then calculate wether the values in the table are independent?
So, we have used expected values, then the t-stat equation to find the t-stat of the table. Then use the degrees of freedom eqn to find the critical value within the t-table. Use the significance level with this too. Chi is a ONE TAILED TEST. (it is a squared distance test so can only be +ve). SO WOULD BE THE 0.95 PART OF T-TABLE
190
10.1 What are the assumptions of linear regression?
191
10.1 What would be a breach of linearity?
NOTE: linearity - breach of linearity would be some kind of LOBF that is curved/quadratic where the residuals are therefore not independent.
192
10.1 What would be a breach of homoskedasticity?
HETEROSKADASCITY: if we don't have homoskedasticity - then our data is not behaving in the same way across all of our regression range, and so the nature of the relationship is changing. We are trying to capture a static equation. B
193
10.1 What would be a breach of independence?
That we seasonality in our data This is called AUTOCORRELATION
194
10.1 What would be a breach in residuals being normally distributed?
note (we dont need to know its normality if it is a large sample size)
195
10.2 What is SSE?
sum of squared errors
196
10.2 What is SSR?
sum of squares of the regression
197
10.2 What is SST?
sum of squares total (is actually the numerator of the sample variance) (so SSE and SSR is breaking SST up into explained and unexplained variation)
198
10.2 Describe SSE SSR and SST on a scatter graph:
199
10.3 What is an ANOVA table?
It is a table that provides and analysis of variance ANOVA compares: variability between groups and variability within groups. An analysis of how good your x variable is at explaining variation in y
200
10.3 Steps for filling in the ANOVA table
1. add the SumSquares regression and residual, so the SSR and SSE. Add them for a total SST. 2. Establish the degrees of freedom. For the regression, as we have one x variable (normally), this will be 1. (in the example used there are 5 degrees of freedom so total has to be n-1, therefore 4) - and therefore those left for the residual are 3. 3. The Mean Square column (a "variance column". Do column 2 (SumSquares so SSR or SSE or SST), then divide by column 1 (degrees of freedom). This is finding the variance explained by each part of the Regression and residual. 4. Calculate the F-stat by doing MSR/MSE from column 3. 5. RSquared (coefficient of determination). This is the level of variation in Y that is explained by the model.
201
10.3 How do you calculate the strength of relationship, as measured by the correlation coefficient?
Square route the coefficient of determination (Rsquared)
202
10.3 Whta is the degrees of freedom of a regression line?
n-2
203
10.3 How do we calculate the F-stat within the ANOVA table?
SO WE ONLY GET ONE F-STAT WITHIN THE TABLE
204
10.3 What would be a 'global test' of regression?
Ho: all of our coefficients are zero H1: There is at least one of our coefficients is non-zero
205
en you have the F-stat, how do we use it to test the hypothesis?
We find the critical F-value from statistical tables (95th percentile - if at 5% significance), and compare to F-stat as normal
206
10.3 How do you calculate the standard error of estimate?
Better understood as volatility of the residual Route MSE
207
10.4 What is a regression coefficient t-test?
Rather than testing the regression as a whole, this is testing a single coefficient. Example, if you know from the global regression test that at leats one of the coefficients is non-zero, then it is worthwhile interrogating individually which one it is
208
10.4 What is the formula for calculating the test-stat for the regression coefficient t-test?
This is pretty much the same as when calculating the test-state for a mean, with the sample mean - observed mean / SE
209
10.5 What are prediction intervals?
Intervals outside of the regression line, where, for example, we are 95% sure that we will observe our Y value given a value for X
210
10.5 what is the standard error of the forecast? And formula (but not important to learn lol)
(notation Sf). The unit of distance you need to go on either side of the regression line to capture 95% chance that the true Y will be in that range.
211
10.5 How do we use the standard error of the forecast to create the prediction intervals for a regression line?
Use the Sf and critical value product to create positive and negative boundaries with the predicted value.
212
10.6 Change in a logarithm is...
is the same as the continuously compounded return
213
10.6 Functional form table.
214
11. What is Big Data?
Extremely large and complex datasets
215
11. What are traditional and nontraditional sources of Big Data?
216
11.1 What are the Big V's that are considerable factors that define Big Data?
veracity - accuracy and unbiased nature
217
11.1 what is artificial intelligence?
218
11.1 What is machine learning?
219
11.1 What is supervised learning?
Human labels what goes in and out
220
11.1 What is unsupervised learning?
Human does not label what goes in and out
221
11.1 What is deep learning?
Called deep learning because you can have multiple layers
222
11.1 What are the three stages of machine learning?
223
11.1 What is Overfitting and Underfitting within the stages of machine learning?
224
11.2 name some applications of data science