Quantum information Flashcards

(32 cards)

1
Q

Draw the Bloch sphere

A
How well did you know this?
1
Not at all
2
3
4
5
Perfectly
2
Q

Write a general state on the Bloch sphere

A

cos(o/2) |0> + e^iphi sin(o/2) |1>

How well did you know this?
1
Not at all
2
3
4
5
Perfectly
3
Q

Axes intercepts of Bloch sphere

A

x - |+>

y - |0> + i|1>

z - |0>

How well did you know this?
1
Not at all
2
3
4
5
Perfectly
4
Q

Why is it important that propagators are unitary (2)?

A
  1. They are reversible since they have inverses
  2. They are length preserving so represent rotations on the Bloch sphere
How well did you know this?
1
Not at all
2
3
4
5
Perfectly
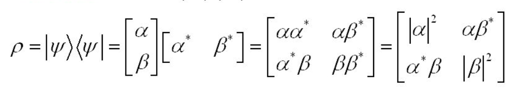
5
Q

Write the density matrix of a general state

A
How well did you know this?
1
Not at all
2
3
4
5
Perfectly
6
Q

Pure state =

A

a density state that can be written as the outer product of a bra and ket

How well did you know this?
1
Not at all
2
3
4
5
Perfectly
7
Q

Write the Pauli matrices

A
How well did you know this?
1
Not at all
2
3
4
5
Perfectly
8
Q

Mixed state =

A

a weighted sum of pure states that cannot be expressed as a single pure state

How well did you know this?
1
Not at all
2
3
4
5
Perfectly
9
Q

Trace of a density matrix

A

1

How well did you know this?
1
Not at all
2
3
4
5
Perfectly
10
Q

General X roation gate

A
How well did you know this?
1
Not at all
2
3
4
5
Perfectly
11
Q

General Y rotaion gate

A
How well did you know this?
1
Not at all
2
3
4
5
Perfectly
12
Q

General Z rotation gate

A
How well did you know this?
1
Not at all
2
3
4
5
Perfectly
13
Q

Square root of X gate

A

1 -i

-i 1

(/sqrt(2))

How well did you know this?
1
Not at all
2
3
4
5
Perfectly
14
Q

Square root of Y gate

A

1 -1

1 1

\root2

How well did you know this?
1
Not at all
2
3
4
5
Perfectly
15
Q

Sqauare root of Z gate

A

1 0

0 i

/root2

How well did you know this?
1
Not at all
2
3
4
5
Perfectly
16
Q

How can H be created from 90* X and Z gates

A

H = 90Z 90X 90Z

17
Q

How can X be created from H and Z

18
Q

How can a general X rotation be created from a general Z rotation and vice-versa

A

Rx = H Rz H

Rz = H Rx H

19
Q

Why can some gates be non-unitary

A

Because quantum evolution is unitary for iolated states - clearly this is not always the case

20
Q

Rabi flopping =

A

cyclic flopping between two states in the presence of an oscillatory driving field

21
Q

What is the condition for flopping to occur?

A

Must have V = non zero ie the perturbation must link the two levels. For it to be efficient V >> w_0 (frequency of laser field)

22
Q

rotating wave approximation =

A

can neglect terms that osciallate rapidly

23
Q

Raman transition =

A

where populations are driven between two levels between which direct transitions are forbiden by using a third higher level. To acheive Rabi flopping on a two level system, two laser beams corresponding to the two levels are detuned from the desired transition to the third level by the same amount.

24
Q

How can Rabi flopping be used to implement a roation gate?

A

The Hamiltonian is

0 hV/2

hV/2 0

Which corresponds to an X rotation where theta = Vt

So to perform a rotation choose the correct time period

25
Hamiltonian of a spin 1/2 system in a magnetic field
H = 1/2 h\_bar w\_l Where w\_l is the larmor frequency
26
Derive an expression for a Hamiltonian transformed into the rotating frame
27
How can an arbitary x rotation be implemented using B field on a spin 1/2 system?
By applying the field for the correct length of time
28
Differnce between ordinary and extraordinary axes
Ordinary - refractive index independent on direction of polarisation Extraordinary - refractive index dependent of direction of polarisation
29
Entangled state =
a state of a system of two or more qubits which cannot be writte as direct products of single qubit states
30
Maximally entangled state =
any state that can be converted to a Bell state by a unitary operation on a single qubit
31
When is a meausrement perfect?
When the axis of measurement is parallel to the state on the Bloch sphere
32
Propagator corrsponding to sigma\_i
exp(-ix sigma\_i) = cos(x) sigma\_0 - isin(x) sigma\_i