Compound Growth/ Decay (Compound interest)
N= N₀(multiplier)ⁿ amount after X years= initial amount x (percentage change)^years
Area of a trapezium
1/2(a+b)h average of parallel lines x vertical height
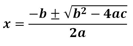
Quadratic equation

Pythagoras’ Theorem
a^2+b^2 = c^2
Sine rule

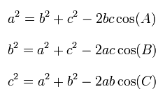
Cosine rule (sides)

Cosine rule (angles)

P(A u B)
P(A) + P(B) - P(A n B) Elements in both sets including intersection
P(A n B)
P(A) x P(B given A) = P(A) x P(B \ A) Intersection of the 2 sets
Area of a triangle
1/2 a b sinC
P (A u B) in a mutually exclusive set
P(A) + P(B)
Mean in a frequency table
Σfx / Σf
f= the midpoint
Cone volume
1/3 π r^2 h
Sphere volume
4/3 π r^2
Quadratic equation
ax^2 + box + c = 0
Equation of a straight line
y= mx + c
Sum of interior angles
(x-2) x 180
Gradient
Change in y
Change in x
Area of a sector
θ/360 x π x r^2
Arc length
θ/360 x 2 x π x r
Geometric sequence (nth term)
Xn= n^multiplier
Fibonacci’s sequence
Xn= sum of the previous two numbers
Cone surface area
πrl + πr^2
Percentage increase
(new price- original price) / original price