Jensen, Treynor, Sharpe

Life Insurance Policy Types

Negligences & Defenses

Taxation of Busines Entities

Education Funding

Types of Retirement Plans

Required Minimum Distribution

Roth IRA Taxation
(conversions)

Roth IRA (earnings)

Life Insurance Inclusion in the Decedent’s Estate
Form 706

Form 1040

Federal Gift Taxation
(Future vs Present Interest)

Gifts to Minors

Charitable Transfers

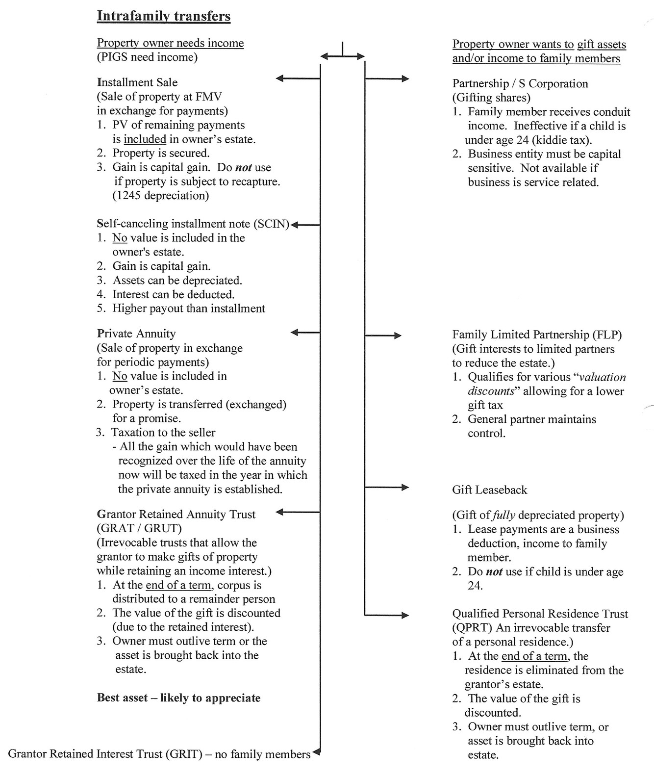
Intrafamily Transfers

Post-mortem Planning
