Mack (2000): What is the Benktander method? Describe the method and the associated formula for the second iteration of the BF method.
UltBF = Loss + (1 - %Paid) x Prem x ELR
UBF = Ck + qkU0
UGB = Loss + (1 - %Paid) x UltBF
UGB = Ck + qkUBF
Mack (2000): Benktander as a Credibility-Weighting of the Chain Ladder & Expected Loss Ultimates
UGB = ?
Chain Ladder Ultimate = Loss x CDF
UCL = Ck ÷ pk
Benktander:
qk = 1 - (CDF)-1
UGB = (1 - qk2)UCL + qk2U0
UltimateGB = (1 - %Unpaid2)xUltCL + %Unpaid2 x Prem x ELR
Mack (2000): Benktander as a Credibility-Weighting of the Chain Ladder & BF Reserves:
RGB = ?
ReserveGB = (1 - %Unpaid) x ReserveCL + %Unpaid x ReserveBF
RGB = (1 - qk) x RCL + qk x RBF
Mack (2000): What happens when we iterate between reserves and ultimates indefinitely?
Note: We are iterating the BF method to infinity where q(∞) goes to zero so 100% weight on CL method
Mack (2000): What are the advantages of the Benktander method?
Mack (2000): When referring to the chain ladder method, what average are you using to calculate the age-to-age factor?
Mack (2000): Given the following information for AY 2012 at 12 months, which reserve has the smaller MSE?
c* = 0.32
Ck = $3,000
UCL = $5,000
Hurlimann: What is the main difference between Mack (2000) and Hurlimann estimate of claim reserves?
Hurlimann: Describe the notation that Hurlimann uses.
pi = ?
qi = ?
UiBC = ?
Uicoll = ?
Uiind = ?
Ui(m) = ?
….
pi = loss ratio payout factor (loss ratio lag factor); proportion of total ultimate claims from origin period i expected to be paid in development period n-i+1
qi = 1 - pi = loss ratio reserve factor
UiBC = Ui(0) = burning cost of total ultimate claims from origin period i
Uicoll = Ui(1) = collective total ultimate claims from origin period i
Uiind = Ui(∞) = individual total ultimate of claims for origin period i
Ui(m) = ultimate claim estimate at the mth iteration for origin period i
Ricoll = collective loss ratio claims reserve for origin period i
Riind = individual loss ratio claims reserve for origin period i
Ric = credible loss ratio claims reserve
RiGB = Benktander loss ratio claims reserve
RiWN = Neuhaus loss ratio claims reserve
Ri = ith period claims reserve for origin period i
R = total claims reserve
mk = expected loss ratio in development period k (incremental)
n = number of origin periods
Vi = premium in origin period i
Sik = paid claims from origin period i as of k years development where 1≤i, k≤n
Cik = cumulative paid claims from origin period i as of k years of development
Hurlimann: State the formulas for the following:
Total Ultimate Claims =
Cumulative Paid Claims =
i-th Period Claims Reserve =
Total Claims Reserve =
Total Ultimate Claims = Σk=in Sik
Cumulative Paid Claims = Cik = ΣSij (sum over j = 1, 2, …,k)
i-th Period Claims Reserve = Ri =Σ Sik (sum over k = n-i+2, ….., n)
Total Claims Reserve = R = ΣRi (sum over i=2, …., n)
Hulimann: Expected Loss Ratio
mk =
ELR =

Hurlimann: What are the forumlas for the loss ratio payout factor and the loss reserve factor?

Hurlimann: What are the formulas for the individual loss ratio claims estimate?

Hurlimann: What are the formulas for the collective loss ratio claims estimate?

Hurlimann: What are the crediblity-weighted loss ratio claim reserve formulas for Banktender, Neuhaus and Optimal?

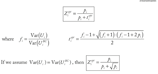
Hurlimann: Formulas for Optimal Credibility Weights (Simplified)

Hurlimann: What is the basic form of tiopt?
tiopt = E[⍺i2(Ui)] / (var(UiBC) + var(Ui) - E[⍺i2(Ui)])
Hurlimann: What is an advantage of the collective loss ratio claims reserve over the traditional BF reserve?
Hurlimann: How do the collective and individual loss ratio claims reserve estimates represent two extremes?
Rind - 100% credibility is placed on the cumulative paid claims (Ci) and ignores the burning cost estimate (UBC)
Rcoll - places 100% credibility on the burning cost and nothing on the cumulative paid losses
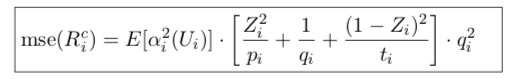
Hurlimann: The mean squared error for the credible loss ratio reserve is given by:
mse(Ric) =

Hurlimann: Under the following assumption, what are the optimal credibility weights (Z*) that would minimize the MSE of the optimal reserve (Ric)?
Assumption:


Hurlimann: Under the assumption 4.4 (conditional for loss ratio payout) in the previous slide, what are the MSE for the following:
mse(Ricoll) = ?
mse(Riind) = ?
mse(Ric) = ?
mse(Ricoll) = E[⍺i2(Ui)] * qi*(1 + qi/ti)
mse(Riind) = E[⍺i2(Ui)] * qi/pi
mse(Ric) = E[⍺i2(Ui)] * [Zi2/pi + 1/qi + (1-Zi)2/ti] * qi2 (basic method - can be used for all methods)
Hurlimann: How would you estimate reserves for the Optimal Cape Cod Method?
Hurlimann: How would you estimate reserves for the Optimal BF Method?