Clark: What are the primary objectives of Clark’s paper? What are the two key elements from those objectives?
Objective 1:
Objective 2:
The 2 key elements:
Clark: Expected Loss Emergence
Weibull

Clark: Expected Loss Emergence
Loglogistic (Inverse Power)

Clark: What are the advantages of using parameterized curves to determine the expected emergence pattern?
Clark: What is the benefit of using the Loglogistic and the Weibull curves to derive the reporting pattern?
Clark: Estimating Ultimate Losses
LDF Method
µAY;x,y = ULTAY * [G(y|w,ø) - G(x|w,ø)]
Clark: Estimating Ultimate Losses
Cape Cod Method
Explain why CC is better than LDF method?
µAY;x,y = PremiumAY * ELR * [G(y|w,ø) - G(x|w,ø)]
Clark: The distribution of actual loss emergence process variance is given by the following:
σ2 = ?

Clark: What are the advantages of using the over-dispersed Poisson distribution?
Advantages
Clark: Should we be concerned about estimating ultimate reserves using a discrete (Poisson) distribution?
Clark: What is the liklihood estimator of the Poisson distribution?
MLE = Σci * ln(ui) - ui
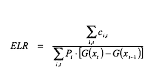
Clark: What is the formula for the Cape Cod Ulitmate?
ELR = ?

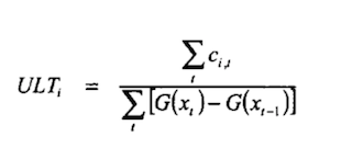
Clark: What is the formula for the LDF ULTi?

Clark: What is an advantage of the maximum loglikelihood function?
Clark: What is the total variance of the reserves?
Total Variance = ?
Process Variance of R = σ2ΣµAY;x,y
Clark: What are the key assumptions of the stochastic reserving model?
1. Incremental losses are independent and iid
In context of reserving:
2. The variance/mean scale parameter, σ2, is fixed and known
3. Variance estimates are based on an approximation to the Rao-Cramer lower bound.
Clark: Set up the table needed to solve for the reserves.
LDF Method

Clark: Set up the table needed to solve for the reserves.
Cape Cod Method

Clark: How do you determine the process variance of the total reserve?
Just multiply the reserve by the scale factor, σ2
Clark:
rAY;x,y =
What are you looking for when examining the residual plots?

Clark: Once the MLE calculations have been completed, there are other uses for the statistics besides the variance of the overall reserve. What are 3 uses?
1. Variance of the Prospective Loss
2. Calendar Year Development
3. Variability in the Discounted Reserves
Clark: Variance of the Discounted Reserves
Rd = ?
Var(Rd) = ?

Clark: How do you calculate the estimated reserves for partial periods on an AY basis?
Mack (1994): Mack Chain Ladder Assumption 1
Mack Assumption 1
Expected losses in the next development period are proportional to losses-to-date
E[Ci,k+1 | Ci,1,…,Ci,k] = Ci,k * LDF