Single Phase Power Flashcards

(5 cards)

1
Q

What is the single phase complex power equation given Vp and Ip?

A
How well did you know this?
1
Not at all
2
3
4
5
Perfectly
2
Q

What is the single phase complex power equation given Vp and Z or Ip and Z?

A
How well did you know this?
1
Not at all
2
3
4
5
Perfectly
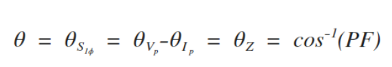
3
Q

Name the different variations of the single phase complex power angle.

A
How well did you know this?
1
Not at all
2
3
4
5
Perfectly
4
Q

What is the equation for P for a single phase circuit?

A
How well did you know this?
1
Not at all
2
3
4
5
Perfectly
5
Q

What is the equation for Q for a single phase circuit?

A
How well did you know this?
1
Not at all
2
3
4
5
Perfectly