Three Phase Power Flashcards

(7 cards)

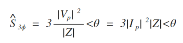
1
Q

What is the three phase power equation given Vp and Ip?

A
How well did you know this?
1
Not at all
2
3
4
5
Perfectly
2
Q

What is the three phase power equation given Zp and Ip/Vp?

A
How well did you know this?
1
Not at all
2
3
4
5
Perfectly
3
Q

What is P for a three phase circuit given Vp/Ip and R?

A
How well did you know this?
1
Not at all
2
3
4
5
Perfectly
4
Q

What is P for a three phase circuit given Vp,/Ip and X?

A
How well did you know this?
1
Not at all
2
3
4
5
Perfectly
5
Q

What is the three phase power equation given VL and IL?

A
How well did you know this?
1
Not at all
2
3
4
5
Perfectly
6
Q

What is P for a three phase circuit given VL/IL and R?

A
How well did you know this?
1
Not at all
2
3
4
5
Perfectly
7
Q

What is P for a three phase circuit given VL,/IL and X?

A
How well did you know this?
1
Not at all
2
3
4
5
Perfectly