*Ordnen sie bitte nachfolgenden Bewegungsprozessen jeweils den charakteristischen Bewegungstypus zu. *
Krümmung einer Coleoptile bei seitlicher Beleuchtung: _____
Aufrichten eines umgefallenen Sprosses: _____
Nutation einer Rankpflanze: _____
Krümmung einer Keimwurzel nach unten: _____
Schließen von Spaltöffnungen bei Wassermangel: _____
Fangbewegung der Venus-Fliegenfalle: _____
Krümmung einer Coleoptile bei seitlicher Beleuchtung: Tropismus
Aufrichten eines umgefallenen Sprosses: Tropismus
Nutation einer Rankpflanze: autonome Bewegung
Krümmung einer Keimwurzel nach unten: Tropismus
Schließen von Spaltöffnungen bei Wassermangel: Nastie
Fangbewegung der Venus-Fliegenfalle: Nastie
Mit dem Reagenz Triphenyltetrazoliumchlorid (TTC bzw. TZ) kann man eine biochemische Keimprüfung durchführen.
a. ) Reduktion
b. ) Embryo
Der Citratzyklus…
a. ) findet abschnittsweise in Mitochondrien und Peroxisomen statt
b. ) stellt direkte Vorstufen für die Aminosäurensynthese bereit
c. ) produziert beim oxidativen Abbau von 3 mol Glukose 12 mol Kohlendioxid
d. ) erzeugt pro eingebrachtem Acetyl-CoA 1 (NADH + H+)
e. ) wird bei Pflanzen durch die lichtabhängige Aktivierung der Succinatdehydrogenase eingeschaltet
f. ) erzeugt durch eine oxidative Decarboxylierung ein Serin aus zwei Molekülen Glycin
g. ) ist bei Pflanzen abschnittsweise beteiligt am Prozess der Gluconeogenese aus Acetyl-CoA
h. ) regeneriert den Akzeptor Oxalacetat durch Aldolase und Transketolase-Reaktionen
b. ) stellt direkte Vorstufen für die Aminosäurensynthese bereit
c. ) produziert beim oxidativen Abbau von 3 mol Glukose 12 mol Kohlendioxid
g. ) ist bei Pflanzen abschnittsweise beteiligt am Prozess der Gluconeogenese aus Acetyl-CoA
Ordnen Sie bitte den folgenden Hormonen die passenden Strukturen zu, d.h. tragen Sie die korrekten Ziffern ein (jede korrekte Zuordnung 0,5 Punkte; 0,5 Punkte Abzug für falsche Zuordnung).
IAA (natürliches Auxin): ___
Zeatin (Cytokinin): ___
Gibberellinsäure: ___
Ethylen: ___

IAA (natürliches Auxin):4
Zeatin (Cytokinin):2
Gibberellinsäure:1
Ethylen:5
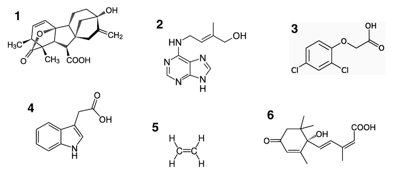
Bitte geben Sie bei jedem der folgenden Sekundärmetabolite an, ob er zu den Alkaloiden, den Terpenen (Isoprenoiden) oder den Phenolen gehört.
beta-Carotin aus Narzissen-Blütenblättern: ___
Tannin aus Teeblättern: ___
Resveratrol aus roten Weinbeeren: ___
Nikotin aus Tabakblättern: ___
Indigo aus Färberwaid: ___
Menthol der Minze: ___
beta-Carotin aus Narzissen-Blütenblättern: Terpene
Tannin aus Teeblättern: Phenole
Resveratrol aus roten Weinbeeren: Phenole
Nikotin aus Tabakblättern: Alkaloide
Indigo aus Färberwaid: Alkaloide
Menthol der Minze: Terpene
Ordnen Sie den Beschreibungen jeweils den idealisierten Graphen zu.
pH-abhängige Aktivität der Sauren Phosphatase ___
[x-Achse: pH-Wert; y-Achse: Produktmenge pro Zeiteinheit]
Lichtabhängige O2-Entwicklung von Chloroplasten ___
[x-Achse: Lichtintensität; y-Achse: Sauerstoffproduktion]
Photometrische Bestimmung von Nitrophenol (Eichung) ___
[x-Achse: Konzentration Nitrophenol; y-Achse: Extinktion]

a. ) D
b. ) E
c. ) C
Eine Pflanze leidet wegen andauernder Trockenheit unter Wassermangel. Welche Anpassungsmöglichkeiten können ihr offenstehen, um ihr Überleben zu verlängern?
a. ) Die Pflanze erhöht die Konzentration gelöster Stoffe in ihren Wurzelzellen.
b. ) Die Pflanze schaltet um vom C3- auf den C4-Photosynthesestoffwechsel, falls es sich um eine C4-Pflanze handelt.
c. ) Die Pflanze schaltet um vom C3- auf den CAM-Photosynthesestoffwechsel, falls es sich um eine CAM-Pflanze handelt.
d. ) Die Pflanze exportiert Protonen und/oder andere Ionen aus ihrer Wurzel, um das Wasserpotential im Boden zu erniedrigen.
a. ) Die Pflanze erhöht die Konzentration gelöster Stoffe in ihren Wurzelzellen.
c. ) Die Pflanze schaltet um vom C3- auf den CAM-Photosynthesestoffwechsel, falls es sich um eine CAM-Pflanze handelt.
Bitte entscheiden Sie, ob folgende Aussagen zum Thema „Membrantransport“ für Membranporen, Kanalproteine oder Transporterproteine (Carrier) zutreffen.
__a)__ sind für die Aufnahme der meisten Mineralstoffe in Wurzelzellen verantwortlich.
__b)__ weisen nur begrenzte oder keine Selektivität beim Transport von Substanzen auf.
Aquaporine gehören zur Gruppe der __c)__
__d)__ können 2 Substanzen im Sym- oder Antiport transportieren.
Der Membranpotential-abhängige K+-Einstrom in Schließzellen geschieht durch __e)__.
a) Transporterproteine (Carrier)
b) Membranporen
c) Kanalproteine
d) Transporterproteine (Carrier)
e) Kanalproteine
Ordnen Sie nachfolgenden Entwicklungsprozessen die jeweils typischen Hormone bzw. Hormonklassen zu.
1) Bewurzelung von Stecklingen: Auxine
2) Verzögerung von Blattseneszenz: Cytokinine
3) Bildung von Xylemgefäßen: Auxine
4) Krümmungsbewegung Spross: Auxine
5) Krümmungsbewegung Wurzel: Auxine
6) Schutzreaktionen bei Wassermangel: Abscisinsäure
Der Casparystreifen …
a) enthält Lignin
b) behindert den apoplastischen Weitertransport des Wassers
c) behindert den symplastischen Weitertransport des Wassers
d) trennt die Rhizodermis von der Wurzelrinde
e) trennt die Wurzelrinde vom Xylem
f) trennt das Xylem vom Phloem
a) enthält Lignin
b) behindert den apoplastischen Weitertransport des Wassers
Eine Pflanze hat photosynthetisch 45 g Glucose (C6H12O6) erzeugt (gemäß der „Grundgleichung der Photosynthese“).
Bitte beantworten Sie folgende Fragen indem Sie die Antwort als Zahl eingeben.
Beachten Sie bitte auch, dass die Einheiten vorgegeben sind.
a. ) Wieviel mol Glucose hat die Pflanze produziert? (Molmassen in g/mol: H: 1; C: 12; O: 16).
b. ) Wieviel mol Wasser spaltet die Pflanze pro 4 mol synthetisierter Glucose?
c. ) Wieviel mol Sauerstoff erzeugt die Pflanze pro 2 mol synthetisierter Glucose?
a. ) 0.25mol
b. ) 48mol
c. ) 12mol
Homöotische oder auch homeotische Gene gibt es nur bei _____ (Pflanzen / Tieren / Pflanzen und Tieren). Sie kodieren für _____ (Proteine des Cytoskeletts / Enzyme im Sekundärstoffwechsel/ ribosomale Proteine/ Transkriptionsfaktoren/ Enzyme im Citratzyklus) und sind primär involviert in _____ (programmiertem Zelltod/ Zellwandsynthese/ Organentwicklung/ Pathogenabwehr) .
Pflanzen und Tieren
Transkriptionsfaktoren
Organentwicklung
Sie haben folgende 2 Redoxpaare vorliegen, die bei einer bestimmten Konzentration und gleichem pH-Wert die angegebenen Redoxpotentiale E besitzen:
NADH + H+ / NAD+ + 2 H+ + 2 e-: E = -0,4 V (Dieses Redoxpaar wird im folgenden abgekürzt als: NADH / NAD+)
FADH2 / FAD + 2 H+ + 2 e-: E = 0 V (Dieses Redoxpaar wird im folgenden abgekürzt als: FADH2 / FAD)
Bitte ergänzen Sie den folgenden Text so, dass sich korrekte Aussagen ergeben.
Unter den beschriebenen Bedingungen ist __a)__ (NAD+ / NADH / FAD / FADH2) ein Oxidationsmittel für __b)__ (NAD+ / NADH / FAD / FADH2). Um den Elektronenfluss von einem Redoxpaar zum anderen umzudrehen, muss ich die Konzentration von __c)__ (NAD+ / NADH / FAD / FADH2) drastisch erniedrigen, wenn dabei alle anderen Konzentrationen gleich bleiben.
a) FAD
b) NADH
c) NADH
Phytochrom B ist ein Lichtsensor, mit dem die wachsende Pflanze wichtige Informationen aus der Umwelt für zielgerichtetes Wachstum erhält. Es kann in zwei Zustandsformen, Hellrot- und Dunkelrot-absorbierend, existieren. Das Hellrot-absorbierende Molekül ist die __a)__(aktive/ inaktive) Form.
Das funktionelle Phytochrom ist ein Protein-Pigment-Komplex mit einem kovalent gebundenen Chromatophor, der folgender Stoffgruppe zugehörig ist (möglicherweise mehr als eine Auswahl korrekt): __b)__ (Tetrapyrrol/ Carotin/ Anthocyanidin/ Flavin/ Retinal/ Bilin/ Porphyrin/ Xanthophyll/ Melanin)
Phytochromartige Sensoren findet man __c)__ (bereits bei den Cyanobakterien/ nur bei grünen Landpflanzen/ erst ab den Cyanobakterien).
a) inaktive
b) Tetrapyrrol
c) erst ab den Cyanobakterien
Einige Reaktionsschritte im Calvinzyklus sind abhängig von Produkten der photosynthetischen Lichtreaktion. Nennen Sie für diese Reaktionsschritte jeweils das Produkt aus der Lichtreaktion, welches verbraucht wird, das dabei umgesetzte Substrat sowie das wirksame Enzym und beschreiben Sie mit einem (!) Wort den Typ der jeweiligen chemischen Reaktion.
3-PGS, ATP, Kinase, Phosphorylierung
Q,3-BPG, NADPH + H+, oxidoreductase, redoxreaktion
Ribulose-5-Phosphat, ATP, Kinase, Phosphorylierung
Unter manchen Bedingungen kann ein Teil der PSII-Lichtsammelantenne die Absorption des PSI verstärken (State Transition), ausgelöst durch überwiegend reduziertes Plastochinon. Bitte wählen Sie die Bedingungen aus, unter denen dies beobachtet werden kann.
a. ) bei zyklischem Elektronentransport
b. ) PSI wird stärker angeregt als PSII
c. ) bei unzureichender Wasserversorgung
d. ) Wenn PSII durch ein Plastochinon-Analog blockiert ist
a. ) bei zyklischem Elektronentransport
c. ) bei unzureichender Wasserversorgung
Bitte geben Sie für folgende Pflanzengewebe jeweils die (überwiegend) darin enthaltenen Plastidentypen an. (Amyloplast/ Etioplast/ Chromoplast/ Chloroplast)
reife Tomate: ___
unreife Tomate: ___
inneres Blatt eines Weißkohlkopfs: ___
rotes Blatt einer Blutbuche: ___
Kartoffel: ____
reife Tomate: Chromoplast
unreife Tomate: Chloroplast
inneres Blatt eines Weißkohlkopfs: Etioplast
rotes Blatt einer Blutbuche: Chloroplast
Kartoffel: Amyloplast
Wählen Sie zutreffende Aussagen aus!
ATP ist ein Substrat der Phosphofructokinase (Reaktion: Fructose-6-phosphat + ATP –> Fructose-1,6-bisphosphat + ADP). Gleichzeitig hemmt ATP bei vielen Organismen dieses Enzym.
(a) Wie kann man das erklären?
(b) Warum ist die Hemmung der Phosphofructokinase durch ATP eine sinnvolle Regulation im Stoffwechsel-Zusammenhang?
a) es handelt sich um Feed-Back-Hemmung, ATP bindet allosterisch an der Phosphofructokinase und verhindert ein weiteres Binden von Fructose-6-Phosphat
b) Ist viel/ausreichend ATP da, wird die Phosphorfructokinase gehemmt, sodass keine weitere Glukose verbraucht wird -> ressourceneinsparung