Spectrofotometry
photo = light
The priciple of the spectrofotometry
is a method to measure how much a coloured solution absorbs light in a certain wavelength.
is in accordance with the Beer-Lambert law.
Beer-Lambert law
used to measure the amount of absorbed or transmitted light by the coloured soultion.
Formula Beer-Lambert law

A = absorbance, represents ..
the amount of light absorbed - have no units
Epsilon, represents
molar absorption coefficient = is a constant for a given compound at a given wavelength (1/cmM)
Concentration (C) (Beer-Lambert law)
concentration of the absorbing molecules (in M).
d (Beer-Lambert law)
distance of light path through the solution (in cm).
The absorbance (A) of a solution is defined as:

incident light = einfallende Licht

Calculation the plot factor

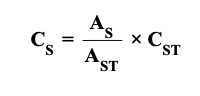
Calculation the concentration using a single standard protein
result in g/dL

Determination of total serum proteins:
The principle of the Gornall method (Biruet method)
**Principle:** Cupric ions (Cu2+) react with the peptide bonds of proteins in an alkaline medium and disassembled the protein.
The result:
a violet-colored complex, with an absorption maximum at 540nm.

Hyperproteinemia
high serum protein level > 8 g/dl
monoclonal gammopathie: develop =>
multiple myeloma, Waldenstrom macroglobulinemia etc
Hypoproteinemia
low serum protein levels < 6 g/dl
liver diseases: hepatic cirrhosis, chronic hepatitis, liver tumors
kidney diseases: glomerulonephritis, nephrotic syndrome
Reference range of total serum protein
6-8 g/dl
Calculate the concentration of serum proteins (in g/dl) and compare with the reference range knowing that, for this determination, the following results were obtained:

= 0,47/ 0,53 * 75 mg/ml = 66,51 mg/dl
mg/ml in g/dl
66,51 mg/dl * 0,1 = 6,651 g/dl

In nephrotic syndrome the concentration of total serum protein is…
decreased
In hepatic cirrhosis the concentration of total serum protein is..
decreased
In multiple myeloma the conentration of total serum protein is..
increased