Statistical Physics Pt.3 Flashcards

(59 cards)

1
Q

How can we relate the wavefunctions for indistinguishable particles?
(Hint: Phase factor, K)

What does it mean for a phase factor of -1 or 1?

A

K = exp(-ia)
Probability denisities must stay the same for indistinguishable particles.
-1 for anti-symmetric, +1 for symmetric wavefunctions.

How well did you know this?
1
Not at all
2
3
4
5
Perfectly
2
Q

What are particles with symmetric wavefunctions called? Give examples
What are particles with antisymmetric wavefunctions called? Give examples

State the degeneracy of quantum states for a particle with total spin quantum number l.

A
How well did you know this?
1
Not at all
2
3
4
5
Perfectly
3
Q

Question on image: FOR BOSON!

A

Where i and j represent any eigenfunction.

How well did you know this?
1
Not at all
2
3
4
5
Perfectly
4
Q

For non-interacting particles, what is the energy of this state?

A
How well did you know this?
1
Not at all
2
3
4
5
Perfectly
5
Q

What is the form of the wavefunction for two fermions?
What does i=j show?

A

i=j shows that fermions can not exist in the same state, PAULI EXCLUSION PRINCIPLE.

How well did you know this?
1
Not at all
2
3
4
5
Perfectly
6
Q

If i=j, Psi = 0, Pauli exclusion principle.

A
How well did you know this?
1
Not at all
2
3
4
5
Perfectly
7
Q
A
How well did you know this?
1
Not at all
2
3
4
5
Perfectly
8
Q

For a large reservoir, how do we treat the chemical potential and Temperature if a small number of particles is added/removed?

What is the temperature of the reservoir by definition?

A
How well did you know this?
1
Not at all
2
3
4
5
Perfectly
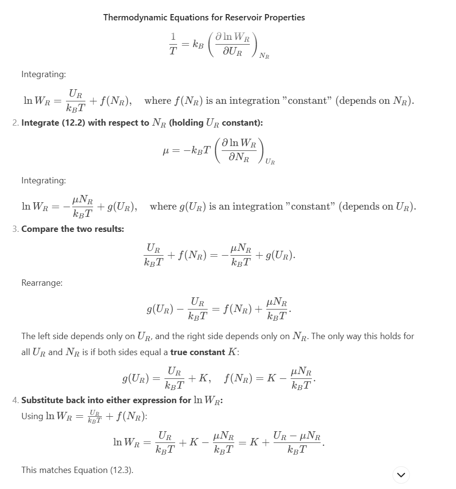
9
Q

1.By integrating the chemical potential and/or the temperature of a reservoir, find the number of microstates in the reservoir.

2.Now consider a system connected to a reservoir, forming a grand canonical ensemble, re-write in terms of the total number of particles and energy.
Hint: Consdider the fact that energy and number of particles is conserved.

DON’T LOOK AT IMAGE AS IT GIVES WORKED INTEGRATION

A
How well did you know this?
1
Not at all
2
3
4
5
Perfectly
10
Q

Suppose at some instant System A is in a particular quantum state, state β,
comprising of Nb identical particles, distributed amongst the system’s singleparticle energy levels so that their total energy [of the form in Eq. (11.2)] =Eβ.

What is the number of accesible quantum states/microstates for the TOTAL system, W_b?
(eq 12.6 in ans)

A
How well did you know this?
1
Not at all
2
3
4
5
Perfectly
11
Q

Working on from the image, what is the OVERALL number of states for the TOTAL system, corresponding to all possible different states (j) of system A.
*Total system = System A + Reservoir

State the GRAND partition function (12.6 + 12.7)
Next, find the probability of being in a state Beta.

A
How well did you know this?
1
Not at all
2
3
4
5
Perfectly
12
Q

Find the probability that a state is occupied.

A
How well did you know this?
1
Not at all
2
3
4
5
Perfectly
13
Q

What is the Gibbs definition of entropy of system A (that is connected to a reservoir)?
Given the probability that System A is in a state, Beta, find an expression for the entropy of the system, expressing in terms of averages.

A
How well did you know this?
1
Not at all
2
3
4
5
Perfectly
14
Q

Re-arranging this, find an expression for the GRAND POTENTIAL.
What is the grand potential an analogue of?

A
How well did you know this?
1
Not at all
2
3
4
5
Perfectly
15
Q

Derive the thermodynamic properties of systems with varying particle number, starting witht he Grand Potential.

Write in terms of the grand canonical ensemble.

A

Applying the differential to the grand potential and using the fact that dE = mu dN - p dV + T dS,
we get to this equation.

How well did you know this?
1
Not at all
2
3
4
5
Perfectly
16
Q
A
How well did you know this?
1
Not at all
2
3
4
5
Perfectly
17
Q

Given this information, find the probability that state i is occupied.

A
How well did you know this?
1
Not at all
2
3
4
5
Perfectly
18
Q

For the Fermi-Dirac distribution, when T=0 K, how many states with energy E < mu are occupied, and how many states with energy E> mu are occupied?
What does Ef equal at T=0?

A

For Fermi-Dirac distribution, all states with E<mu> mu are occupied.
At T=0, chemical potential = Ef (fermi energy, energy of highest occupied state at T=0 K)</mu>

How well did you know this?
1
Not at all
2
3
4
5
Perfectly
19
Q

Using the information provided, find the average number of particles in state i.

A
How well did you know this?
1
Not at all
2
3
4
5
Perfectly
20
Q
A
How well did you know this?
1
Not at all
2
3
4
5
Perfectly
21
Q

How do we find the chemical potential?
** Give a qualitative and quantitative description/idea/method.

A

Don’t forget spin degeneracy!! 2 Fermions can exist in the same state as long as they have opposite spins!

How well did you know this?
1
Not at all
2
3
4
5
Perfectly
22
Q

Use the density of states for a 3D box to find an integral expression for the total Number of particles in a box, N.

A
How well did you know this?
1
Not at all
2
3
4
5
Perfectly
23
Q
A
How well did you know this?
1
Not at all
2
3
4
5
Perfectly
24
Q

Give the grand potential of a Fermi gas made by the 2 quantum states with energy E(n,l,s), choosing the state i to be the state with quantum numbers n,l,s, as a function of the Grand partition function.
Then, using summation form, give the total Grand potential of a fermi gas (for all energy levels).

25
Using the density of states, express the grand potential of a fermi gas as a summation.
26
Express the pressure and entropy in terms of the Grand potential for a 3D Fermi gas.
27
Find N in the high T limit for a Fermi Gas.
28
Find the chemical potential of a Fermi gas in the High-T limit.
29
Find the Grand potential in the high-T limit. Derive the Ideal gas law from this.
30
Using the above, derive the entropy for a Fermi gas at high-T.
31
At absolute 0, using the information provided, what is the number of particles contained up to the Fermi energy?
P(E
32
What is the K-space volume occupied by a Fermi gas at absolute 0?
33
What is the k-space volume occupied by each quantum state (can think of what is effectively density)? Hence, what is the total number of Fermions with k
34
Following eq 15.1, what is the Fermi wavevector, and what is the Fermi Energy? What is the Fermi velocity? What is the Fermi Temperature defined to be?
***Ef = (hbar^2) * (Kf ^2) /2m
35
Find the average internal energy for a Fermi gas at absolute 0.
Don't forget factor of 2 for spin!!!
36
What is the entropy of a fermi gas at absolute 0? What is the grand potentioal at absolute 0? What is the pressure exerted by the gas?
37
38
Fermi gases are said to be what when T<< Tf?
Fermi gases are said to be degenerate for T << Tf
39
How occupied are energy levels within KbT of Ef for Fermi gases at T close to, but not equal to 0? What is the consequence of this?
Energy levels are only partially occupied. As a result, electrons gain energy and contribute to a system's specific heat.
40
What is the specific heat of a Fermi Gas? [Find an integral expression in terms of the Fermi dirac function, Energy, Energy density of states] Hint: Convert to Energy density of states. Cv = dE/dT
41
What is an expression for the number of fermions in a gas for ALL T?
42
43
44
Continue to find Cv.
45
Give the equation for the specific heat at low T. Give the equation for quantum pressure (at 0 K)
46
47
How many bosons are in the system- find an expression for the total number of bosons in a bose gas? [Start from summation form, should end with a const + integral expression].
48
Noting the density of states is not suitable for low temperatures of a bose gas, find an appropriate form for the total number of bosons in the system.
49
Answer, then look at image: 1. What is N1/N when T=0k for a boson gas? 2. What happpens as T-->0k and what is Bose-Einstein condensation? 3. What is Bose-Einstein condensate?
1. N1/N = 1 (i.e. N1 = N when T= 0K) 2. As T-->0K, more bosons fall into the lowest energy level, the transfer of bosons into the lowest energy level is called Bose-Einstein condensation. 3. The bosons in the lowest level are known as the Bose-Einstein condensate.
50
51
What is the equation for quantum pressure?
52
What is the heat capacity equation for a fermi gas?
53
What is the formula for the critical temperature for a bose-einstein condensate?
54
55
FInd the Equation for Average internal energy using.
56
What are the equations for: Fermi wavevector Fermi energy Fermi Temperature Average internal energy
Fermi Temp = Ef/Kb
57
58
59