Thermodynamic potentials Flashcards

(26 cards)

1
Q

What is the energy thermodynamic potential?

A

dE = Tds - pdV

Two applications: Mechanical equilibrium, isolated systems

How well did you know this?
1
Not at all
2
3
4
5
Perfectly
2
Q

What is the equation and an application of the Enthalpy thermodynamic potential?

A

Application: Flow processes (Joule-Kelvin expansion).

How well did you know this?
1
Not at all
2
3
4
5
Perfectly
3
Q

What is the equation and an application of Helmholtz free energy?

A

Application: Statistical Partition function, chemical reaction.

How well did you know this?
1
Not at all
2
3
4
5
Perfectly
4
Q

State Gibbs free energy and an application

A

Application: Phase equilibrium

How well did you know this?
1
Not at all
2
3
4
5
Perfectly
5
Q

Using this equation and the standard Free Helmholtz energy equation, find the internal energy of an ideal gas and the ideal gas law.

A
How well did you know this?
1
Not at all
2
3
4
5
Perfectly
6
Q

What is the difference between the Joule and Joule-Kelvin expansion?

A

Joule expansion is the free expansion of gas into a vacuum.
J-K expansion is a constrained expansion across a pressure drop where enthalphy is constant.

How well did you know this?
1
Not at all
2
3
4
5
Perfectly
7
Q

What is the Joule Coefficient?

A
How well did you know this?
1
Not at all
2
3
4
5
Perfectly
8
Q

Using reciprocity theorem, ideal gas equation and Joule coefficient, find the value of Joule’s coefficient for 1 mol of an ideal gas.

A
How well did you know this?
1
Not at all
2
3
4
5
Perfectly
9
Q

Using reciprocity equation, equation for Van der Waal gas and Joule expansion coefficient find the Joule coefficient for Van der Waal gases.
Does this gas cool or heat upon expansion?

A

Apply same process to get the alternate form of the Joule coeff. eq. Then plug in Van der Waal eq.

How well did you know this?
1
Not at all
2
3
4
5
Perfectly
10
Q

What is the alternate form of Joule’s coefficient?

A

Most RHS is alternate form found using reciprocity theorem.

How well did you know this?
1
Not at all
2
3
4
5
Perfectly
11
Q

State what is constant for flow processes.

A

Enthalpy is constant for flow processes,
dH = 0. H1 = H2.

How well did you know this?
1
Not at all
2
3
4
5
Perfectly
12
Q

Using the Joule-Kelvin coefficient, find the alternate form of the J-K coefficient.

A
How well did you know this?
1
Not at all
2
3
4
5
Perfectly
13
Q
A
How well did you know this?
1
Not at all
2
3
4
5
Perfectly
14
Q

State the alternate form of the J-K coefficient.

A

Note: The equation is the same for the Joule coefficient, but dp and dV have swapped positions.

How well did you know this?
1
Not at all
2
3
4
5
Perfectly
15
Q

For a phase change in equilibrium, what is the relation between the specific gibbs energy between two phases 1 and 2? Hint: dG = 0, considet a small mass dM transferred from phase 1 to 2.

A
How well did you know this?
1
Not at all
2
3
4
5
Perfectly
16
Q

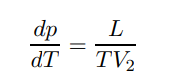
State the Clausius-Clapeyron relation

17
Q

Derive the Clausius-Clapeyron.
Hint 1: Consider the specific gibbs energy (div by mass). So can use relationship between specific gibbs entropy

Hint 2: Times by mass, to get entropy and Volume back from their specific counterparts.

Hint 3: Re-arrange for dP/dT and use latent heat equation ∆S = L/T

20
Q

What is the relation for working out ∆T from the clapeyron relation once dP/dT has been found?
If you know Ti, use this to find Tf.

A

dp/dT = ∆p/∆T - rearrange

Tf = Ti + ∆T

21
Q
A

STP 21, slides 12-14 for better visibility.

22
Q

What is the third law of thermodynamics?

23
Q

Using the equation on the RHS what happens to heat capacities as the temperatures approach 0 kelvin?

A

Using the third law, we know that the entropy becomes 0 as the temperature approaches 0. For the RHS to be 0, Heat capacity must vanish/ equal 0.

24
Q

What happens to expansion coefficients as T approaches 0?

Image on this side with limits shows a better way of writing, but does not show where second expansion coefficient comes from.

A

Expansion coefficients approach 0 as T approaches 0, as dS = 0 for approaching 0.

25
Generalise the IE equation for a magnetic field.
Add a BdM term, then set for a fixed Volume, dV = 0. dE = Tds + BdM. M is the Magnetisation. BdM is the magnitisation energy.
26
Using Curie's Law provided (M term), and the Joule-Kelvin expansion coefficient, find whether adiabatic demagnetisation(akin to J-K expansion) would produce a cooling or heating effect.