What is a “coordinate”?
It’s two (sometimes 3) numbers inside brackets that tell you where a point is.
(x, y) or (x, y, z)
The first value tells you how far left/right it is from the origin. The second value tells you how far up/down it is from the origin.
What does “y-coordinate” mean?
It’s the second value in a coordinate (x,y).
What does “x-coordinate” mean?
It’s the first value in a coordinate (x,y).
What does “linear” mean when graphing?
It makes a straight line.
What does “x-intercept” mean?
Where the line crosses the x-axis.
We know the coordinate is (x, 0).

What does y-intercept mean?
Where the line crosses the y-axis.
We know the coordinate is (0, y).

What does “gradient” or “slope” describe in normal English words?
It describes how steep or slanty a line is.
How do you calculate the gradient if you are given two points?
How can we use the gradient to see that two lines are parallel?
Parallel lines have the same gradient.
How can we use the gradient to see that two lines are perpendicular?
The gradients of perpendicular lines are the negative reciprocal. For example,

What is the equation of a flat horizontal line?
f(x) = ___________
y = __________

What is “gradient-intercept” form and why is it the most useful?
y=mx+c
This is the only format the calculator accepts in test mode.
In the equation y=mx+c, which letter represents the y-intercept?
(Be careful to notice the sign in front of c. This is also part of the y-intercept.)

In the equation y=mx+c, which letter represents the gradient?
(Be very careful not to include “x”. This is only the number BEFORE the x. There is no x in the gradient; it’s just a number.)

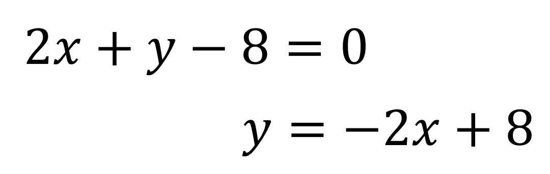
What are the two methods to graph the equation Ax+By=C?
How do you graph a line of the form y=mx+c?
How do you find the equation of a line by looking at the graph?
How do you calculate the gradient if given a line in standard form?

Rearrange the equation into gradient-intercept form.

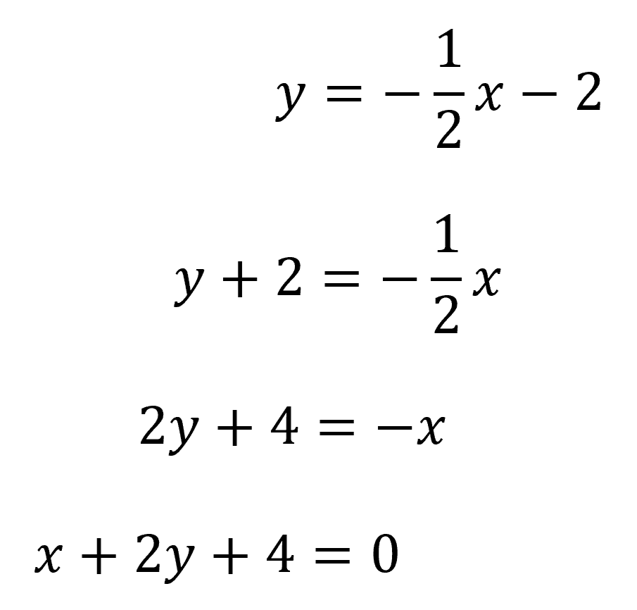
How do you find the equation of a line, given in the form

Find it in gradient intercept form and rearrnage.

What are the steps to find the equation of any line?
How do you find the midpoint between two points A and B?
Using the midpoint formula in the formula booklet, separately calculate the x- coordinate and y- coordinate of the midpoint.
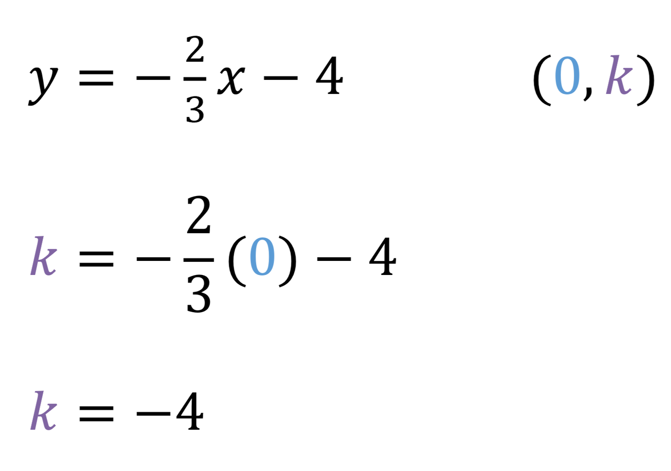
How do you find some letter coordinate from a point if you already know the line?

Plug the point into the line and solve.

How do you find the y-intercept of an equation in standard form?

Plug in 0 for x.

How do you find the x-intercept of an equation in standard form?

Plug in 0 for y.
