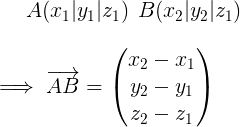
How do you find a vector, given two points?
You subtract the start point from the endpoint.

How do you draw vector addition?

How do you draw vector subtraction?

How do you multiply scalars with vectors?

The scalar multiplies each component of the vector.

What are the two different ways to multiply vectors?
What is the difference between a dot product (scalar product) and a cross product?
How do you find the dot product of two vectors?
Add together the product of the matching components from each vector.

How do you find the cross product of two vectors?
How do you find a normal vector to two vectors (at the same time)?
You take the cross product of those two vectors.
How do you find the normal vector to this line?

Each component of the normal vector is simply that component’s coefficient from the equation.

How do you find the normal vector to this Ebene?

Each component of the normal vector is simply that component’s coefficient from the equation.
