Thyroid Hormone
Function
Non-essential for life, however, crucial for normal metabolic function.
Activity exerted at the gene expression level.
Thyroid Follicles

Colloid
Thyroglobulin
(Tg)
Thyroid Hormones

Biosynthesis of Thyroid Hormones
Overview

Biosynthesis of Thyroid Hormone
Step 1: Iodide uptake and transfer into the follicle

Biosynthesis of Thyroid Hormone
Steps 2 and 3: Oxidation and Iodination
These two steps combined is known organification.
All steps are performed by thyroid peroxidase (TPO) located on the apical plasma membrane.

Biosynthesis of Thyroid Hormone
Step 4: Coupling
Coupling of two precursor molecules into the final hormones is also performed by the thyroid peroxidase (TPO) enzyme.
Both hormones remain linked to the thyroglobulin backbone until the thyroid gland is stimulated to secrete into the blood stream by TSH.
Only 20-25% of MIT and DIT are coupled into hormones.
Synthesis of T3 is slower than T4.
Thyroid secretes 5-10x more T4 than T3.
Biosynthesis of Thyroid Hormones
Steps 5 - 7: Endocytosis, Proteolysis, Secretion
Upon stimulation by TSH:

Plasma Transport of Thyroid Hormones

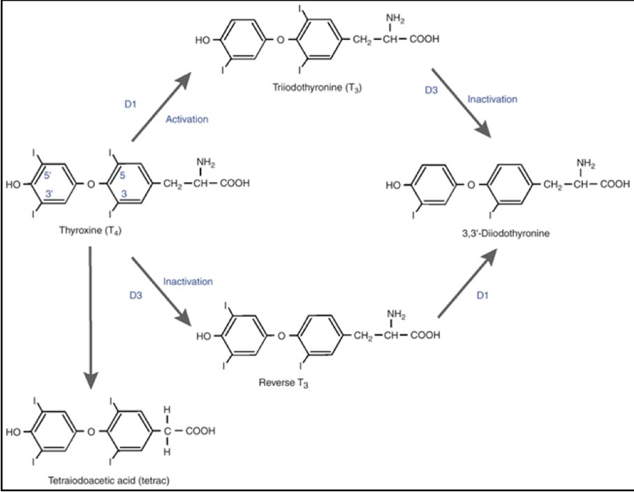
Interconversion of Thyroid Hormones
T4 is converted into active T3 by deiodination at the 5’ position of the thyronine ring ⇒ outer ring deiodination.
Decreased by fasting, trauma, or illness but resolution of these conditions will rapidly restore the activity of deiodinases.
Both T3 and T4 can be inactivated by iodine removal ⇒ inner ring deiodination.
About 40% of T4 deiodinated into the inactive reverse T3 (rT3)
T3 inactivated into diiodothryonine.
All deiodinases contain selenocysteine.

Thyroid Hormone
Feedback Control

Effects of TSH
TSH receptors are located on the basal membrane of follicular cells.
Action exerted through cAMP production.
Thyroid Hormone
Mechanism
Only T3 metabolically active.
Modulation of Gene Expression
Thyroid hormones also exert physiological effects that are not mediated by gene expression:

Physiological Actions of Thyroid Hormones

Hashimoto disease
Primary Hypothyroidism
Myxedema
Primary Hypothyroidism
Secondary Hypothyroidism
Thyroid gland biosynthetic functions are reduced because of decreased TRH and/or TSH production.
Can be due to hypothalamic failure or pituitary failure.
Results in thyroid gland tissue atrophy.
See low TSH and low T3/T4
Graves Disease
Primary Hyperthyroidism
