What is the sampling distribution of a statistic?
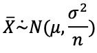
The mean of the sampling distribution of X bar is the same as what?
The variance of the sampling distribution of X bar is the what?
What does the sampling distribution depend on?
If X is exactly normally distributed then X bar has what?

Regardless of the distribution of the sampled random variable, if the sample size is sufficiently large, X bar has what?
What happens if the sample size exceeds 30?

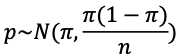
The sampling distribution of the proportion, p, is an application of what?
What is the parental population, X?
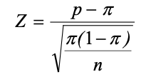
(sampling distribution of the sample proportion, p)
What is the mean and the variance of the proportion of X?
Is the X variable normal?

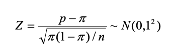
What do we use to evaluate the sampling distribution of the proportion, p?

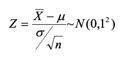
What are the three steps to obtain probabilities for X bar?

What are the three steps to obtain probabilities for p?

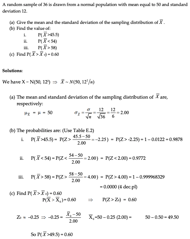
A random sample of 36 is drawn from a normal population with mean equal to 50 and standard deviation 12.
(a) Give the mean and the standard deviation of the sampling distribution of X bar.
(b) Find the value of:
i. P(X bar > 45.5)
ii. P(X bar < 54)
iii. P(X bar > 58)
(c) Find P(X bar > X bar0) = 0.60

For a large population of normally distributed account balances, the mean balance is µ = $150 with standard deviation σ = $35.
(a) What is the probability that one randomly sampled account has a balance that exceeds $160?
(b) What is the probability that the mean random sample of n = 40 accounts will exceed $160?
















