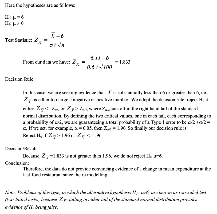
The manager of a fast-food restaurant had established that the mean amount per mean was $6. Following extensive re-modelling and a different menu, the manager was interested in determining whether the mean amount spent had changed. A random sample of 100 customers had a sample mean of $6.11, with a sample standard deviation of 60 cents. Do these data constitute evidence of a change in mean expenditure? Use 5 % level of significance?
(sigma unknown, sample large, use CLT)

A car manufacturer claims that the bumpers on its cars are constructed in such a way that if cars are driven into a wall at 25 km per hour, the cars would require a mean cost of $200 to fix. The NRMA believes that the mean cost is likely to exceed $200. The company crashes nine cars and obtain the following repair costs (in $):
245, 305, 175, 250, 160, 250, 195, 280 and 210.
Would NRMA have enough evidence to reject the manufacturer’s claim? Use 0.10, level of significance?
(sigma unknown, small n, assume X is normally distributed)

A car manufacturer claims that the bumpers on its cars are constructed in such a way that if cars are driven into a wall at 25 km per hour, the cars would require a mean cost of $600 to fix. The NRMA believes that the mean cost is likely to exceed $600. The company crashes nine cars and obtain the following summary of repair costs:
Sample mean = $636
Sample standard deviation = $65
n = 9
Would NRMA have enough evidence to reject the manufacturer’s claim? Use 0.05 level of significance?
Ho: μ = $600
H1: μ > $600
t-stat = 1.6615
t- critical value = 1.8595
Do not reject Ho. No evidence to support the manufacturer’s claim.
A union claims that more than 90 per cent of firms in the manufacturing sector do not provide child-care facilities. A random sample of 350 firms selected, and is found that only 28 provide such facilities. Do these data provide support for the union’s claim? Use 0.10, level of significance.
(Test for Proportions, X is not normal, n > 30, Use CLT)

A union claims that more than 90 per cent of firms in the manufacturing sector do not provide child-care facilities. A random sample of 100 firms selected and is found that only 96 provide such facilities.
Do these data provide support for the union’s claim?
Use 0.05, level of significance.
(Test for Proportions, X is not normal, n > 30, Use CLT)
Ho: π ≤ 0.90
H1: π > 0.90
Z-stat = 2.000
Z critical value = 1.6449
Reject Ho. The evidence supports the union’s claims.
Experience indicates that the monthly long-distance telephone bill is normally distributed with mean $17.85. After an advertising campaign aimed at increasing long distance telephone usage, a random sample of 15 household bills was taken, with the following sample statistics:
Mean 19.13 and standard deviation 4.35.
(a) Do the data allow us to infer that at the 5% significance level that the campaign was successful?
(b) What assumption must you make to answer part (a)?

A diet doctor claims that the average Australian is more than 5 kg overweight. To test this claim, random samples of 50 Australians were weighed, and the difference between their actual weight and their ideal weight was calculated. The mean and standard deviation of that difference is 6.5 and 2.2 kg, respectively.
Can we conclude, with alpha = 0.05, that enough evidence exists to show that the doctor’s claim is true?

In a random sample of 100 units from an assembly line, 15 were defective. Does this constitute sufficient evidence at the 10% significance to conclude that the defective rate among all units exceeds 10%?

An appliance manufacturer claims to have developed a compact microwave oven that consumes an average of no more than 250 W. From previous studies, it is believed that power consumption for microwave ovens is normally distributed with a standard deviation of 15 W.
A consumer group has decided to try to discover if the claim appears true. They take a sample of 49 microwave ovens and find that they consume an average of 257.3 W and use 5% level of significance.
Ho: μ ≤ 250W
H1: μ > 250W
Z-stat = 3.4067
Z crit = 1.6449
Reject Ho. No evidence to support the claims.



















