Transport processes Flashcards

(10 cards)

1
Q

A 1D random walker is at position 0 on a line. If it has an even number of steps which spaces on the line can it reach?

A

Only even ones

For example if it had 2 steps it can only go to position 2 or stay at 0.

How well did you know this?
1
Not at all
2
3
4
5
Perfectly
2
Q

How is the number of particle and isotropy conditions conserved in a CA diffusion model?

A

Margoulous diffusion:
- > instead of particles moving randomly in a gridspace, 2x2 blocks of the space are rotated randomly CW or CCW and then linearly shifted.

l

How well did you know this?
1
Not at all
2
3
4
5
Perfectly
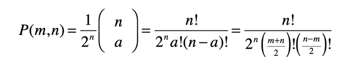
3
Q

What is the probablity of finding a random walker at position m after n steps?

A
binomial distribution
How well did you know this?
1
Not at all
2
3
4
5
Perfectly
4
Q

Describe what is flux?

A

The magnitude and direction of net flow of substance or field through a given surface

How well did you know this?
1
Not at all
2
3
4
5
Perfectly
5
Q

For high n (#steps) what is the probability distribution for finding a random walker at position m?

A

Normal

CLT

How well did you know this?
1
Not at all
2
3
4
5
Perfectly
6
Q

Derive Fick’s First Law!

A
How well did you know this?
1
Not at all
2
3
4
5
Perfectly
7
Q

Assuming steady-state of a solely diffusion process what kind of relation describes concentration in terms of position?

A

Linear

e.g. blood oxygen

How well did you know this?
1
Not at all
2
3
4
5
Perfectly
8
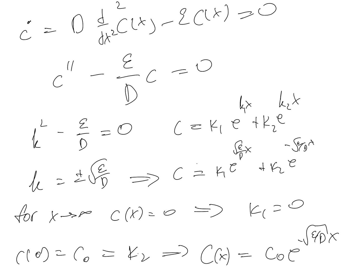
Q

Assuming steady-state of a degradation-diffusion process what kind of relation describes concentration?

A

Exponential

e.g. bicoid

How well did you know this?
1
Not at all
2
3
4
5
Perfectly
9
Q

What is diffusion length

A
How well did you know this?
1
Not at all
2
3
4
5
Perfectly
10
Q

Why is the Steady-state diffusion degradation model not accurate enough to explain bicoid mRNA gradient?

even though bicoid also has exponential decay of concentration

A

The Diffusion coefficient of bicoid mRNA is too low to account for the reaching of steady-state at the syncitial stage of development. There is an active transport mechanism along microtubules through motor proteins.

Gradient “frozen” by triggering breakdown of cortical network

How well did you know this?
1
Not at all
2
3
4
5
Perfectly