Turing patterns Flashcards

(15 cards)

1
Q

в

How can we account for morphogenesis in tissues when diffusion tends to smoothen out patterns?

A

Reaction-diffusion systems

How well did you know this?
1
Not at all
2
3
4
5
Perfectly
2
Q

Describe an RD system which can form stationary waves!

A
with X=h, Y=k an equilibrium, ν>µ diffusion coefficients of the two substances
How well did you know this?
1
Not at all
2
3
4
5
Perfectly
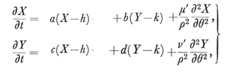
3
Q

Describe all parameters in the following RD pair!

A

a: autocatalytic production/degradation of X
b: Y -> or -| X
c: X -> or -| Y
d: autocatalytic production/degradation of Y
mu/rho, ni/rho : diffusion terms

How well did you know this?
1
Not at all
2
3
4
5
Perfectly
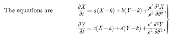
4
Q

What condition is required for pattern formation through the following RD morphogen pair?

A

For Y to diffuse much faster than X, a>0 (autocatalysis), and b<0 (Y -| X). Y then produces an inhibition halo that keeps the spread of X limited However, Ys inihbition on X should be at the right level relative to the autocatalysis of X to ensure that X is also not completely destroyed.

How well did you know this?
1
Not at all
2
3
4
5
Perfectly
5
Q

What is the extended model of Turing patterns which further establishes the necessity of activator-inhibitor pairs with local autocatalys long-range inhibition.

A

Gierer-Meinhardt equations

How well did you know this?
1
Not at all
2
3
4
5
Perfectly
6
Q

What should be the cross-inhibition ratio (c = ni/mu) of Turing system for it to be in a stable homogeneous steady state?

A

c>1

The Jacobian shows that dont think too much about it trust the Jacobian

How well did you know this?
1
Not at all
2
3
4
5
Perfectly
7
Q

What is the method implemented to derive the conditions for pattern formation of the GM model?

A

Linear Stability Analysis

How well did you know this?
1
Not at all
2
3
4
5
Perfectly
8
Q

l

What is the expected form of an x-axis standing wave solution of the GM model?

A
the first exponent describes the exponential growth/decay of the pattern while the second exponent describes the wave-form of the pattern along the x-axis

*growth/decay == sharpening of pattern with time/smoothening of pattern with time

How well did you know this?
1
Not at all
2
3
4
5
Perfectly
9
Q

What is a wavenumber?

A

k is called the (angular) wavenumber
It gives the number of radians of the wave per unit length
I.e., k = 2pi means: One full sine wave in a unit length.

How well did you know this?
1
Not at all
2
3
4
5
Perfectly
10
Q

What is the relation between wavenumber and wavelength?

A
How well did you know this?
1
Not at all
2
3
4
5
Perfectly
11
Q

For what conditions can persistent/growing disturbances be observed in a Turing/GM system?

A

For c,D > 0 and D>c

growing disturbance with a positive real wavenumber and p>0

*p is the rate at which a pattern grows or gets smoothened. For p>0 the homogeneous uniform distribution is an unstable equilibrium point and thus the system will move away from it and towards the steady state of inhomogeneity aka patterns

How well did you know this?
1
Not at all
2
3
4
5
Perfectly
12
Q

For what conditions will a Turing/GM system stay at homogeneous unifromity of morphogens upon a disturbance?

A

c> 1

=> stable homogeneous equilibrium (p<0)

How well did you know this?
1
Not at all
2
3
4
5
Perfectly
13
Q

What is the formula of the wavenumber in therms of c and D?

A
How well did you know this?
1
Not at all
2
3
4
5
Perfectly
14
Q

how deos an increase in D affect wavelength of Turing pattern?

A

not really. Actually Dh and Da which are crucial. Increasing Dh will lead to bigger wavelength and indirectly increase in D will be related to increase in wavelength. However the opposite happens to be true if you increase Da. It will also lead to bigger wavelength but then actually an increase in D will occur.

How well did you know this?
1
Not at all
2
3
4
5
Perfectly
15
Q

how deos an increase in Dh affect wavelength of Turing pattern?

A

higher Dh => higher wavelength

How well did you know this?
1
Not at all
2
3
4
5
Perfectly