Unit 1 Flashcards

(79 cards)

1
Q

What is AEC? (the acronym AND what it is used for)

A

“Automatic Exposure Control”
A system used to consistently control amount of radiation reaching the IR by terminating the length of exposure

How well did you know this?
1
Not at all
2
3
4
5
Perfectly
2
Q

[with AEC] How does changing KVP affect: density

A

No appreciable effect

How well did you know this?
1
Not at all
2
3
4
5
Perfectly
3
Q

[with AEC] How does increasing KVP affect: exposure time

A

Higher kVP will decrease the exposure time to reach predetermined amount of exposure

How well did you know this?
1
Not at all
2
3
4
5
Perfectly
4
Q

[with AEC] How does increasing KVP affect: radiation exposure to patient/dose

A

Higher kVp will decrease exposure to patient as there will be a decreased exposure time

How well did you know this?
1
Not at all
2
3
4
5
Perfectly
5
Q

[with AEC] How does increasing mA affect: time of exposure

A

Increasing mA decreases exposure time

How well did you know this?
1
Not at all
2
3
4
5
Perfectly
6
Q

[with AEC] How does decreasing mA affect: time of exposure

A

Decreasing mA increases exposure time

How well did you know this?
1
Not at all
2
3
4
5
Perfectly
7
Q

[with AEC] How does changing mA affect: density

A

Density remains the same. With AEC the machine will continue running until the optimal amount radiation has hit the IR

How well did you know this?
1
Not at all
2
3
4
5
Perfectly
8
Q

What is essential when using AEC?

A

-Selecting the appropriate bucky
-Selecting the appropriate detector(s)
-Centering anatomy over the detector(s)

How well did you know this?
1
Not at all
2
3
4
5
Perfectly
9
Q

What 2 things might cause improper receptor exposure despite centering/selecting AEC options correctly?

A
  • The patient has anatomic or pathologic variants (ex. using AEC on a patient with a prosthesis)
    -Inappropriate collimation (excessive will result in long exposure times, insufficient will result in very short exposures)
How well did you know this?
1
Not at all
2
3
4
5
Perfectly
10
Q

How do you adjust exposure when using AEC?

A

Density controls (ex. -2, -1, +1, +2). Usually in 25% increments

Ex. Selecting +2 will increase the predetermined exposure level needed to terminate the time by 50%

How well did you know this?
1
Not at all
2
3
4
5
Perfectly
11
Q

What is differential absorption?

A

Anatomic tissues absorb and transmit x-rays differently based on their composition (atomic number and tissue density)

How well did you know this?
1
Not at all
2
3
4
5
Perfectly
12
Q

What is attenuation?

A

Primary beam loses some of its energy (number of photons) as it interacts with anatomic tissue

How well did you know this?
1
Not at all
2
3
4
5
Perfectly
13
Q

What is the photoelectric effect?

A

Complete absorption of incoming photons (ex. x-rays ionizing an atom)

How well did you know this?
1
Not at all
2
3
4
5
Perfectly
14
Q

What is the Compton effect?

A

When an incoming photon loses some but not all of its energy, then changes direction

How well did you know this?
1
Not at all
2
3
4
5
Perfectly
15
Q

How does tissue thickness affect beam attenuation?

A

Thin patient transmits more radiation than thick

Thick patient absorbs more radiation than thin

How well did you know this?
1
Not at all
2
3
4
5
Perfectly
16
Q

How does type of tissue affect beam attenuation? (High or low atomic #?)

A

Tissues of higher atomic numbers increase beam attenuation

How well did you know this?
1
Not at all
2
3
4
5
Perfectly
17
Q

Which tissue type absorbs the most radiation: bone, fat, or air?

A

Bone

How well did you know this?
1
Not at all
2
3
4
5
Perfectly
18
Q

How does tissue density affect beam attenuation?

A

Increasing the compactness of atomic particles/tissue density, will increase beam attenuation

How well did you know this?
1
Not at all
2
3
4
5
Perfectly
19
Q

How does x-ray beam quality affect beam attenuation?

A

Higher kVp will decrease beam attenuation

How well did you know this?
1
Not at all
2
3
4
5
Perfectly
20
Q

What is exit radiation composed of?

A

Transmitted and scattered radiation

How well did you know this?
1
Not at all
2
3
4
5
Perfectly
21
Q

What is exit radiation also known as?

A

Remnant radiation

How well did you know this?
1
Not at all
2
3
4
5
Perfectly
22
Q

What is radiographic quality determined by?

A

How the image accurately represents anatomic area of interest

How well did you know this?
1
Not at all
2
3
4
5
Perfectly
23
Q

What determines the visibility of anatomic structures?

A

Brightness and contrast

How well did you know this?
1
Not at all
2
3
4
5
Perfectly
24
Q

What determines accuracy of structural lines?

A

Spatial resolution and distortion

How well did you know this?
1
Not at all
2
3
4
5
Perfectly
25
What is subject contrast the result of?
Absorption characteristics of anatomic tissue radiographed and the quality of the x-ray beam
26
Would this produce high contrast or low contrast: Great differences in radiation absorption between tissues that vary greatly
Higher contrast
27
Would this produce high contrast or low contrast: Fewer differences in radiation absorption between tissues that are more similarly composed
Lower contrast
28
What is gray scale?
The number of different shades of gray that can be stored and displayed in a digital image
29
What is scale of contrast?
Range of densities visible on film
30
Describe the brightness of this image
Excessive brightness
31
Describe the brightness of this image
Insufficient brightness
32
What refers to the smallest object that can be detected in a digital image?
Spatial resolution
33
What is radiographic misrepresentation of shape/size of an atomic part?
Distortion
34
What causes size distortion?
SID and OID
35
What causes shape distortion?
Misalignment of central ray, anatomical part, or IR
36
What is unwanted exposure to the IR resulting in fog?
Scatter
37
What phenomenon can scatter be caused by
Compton interactions
38
Is scatter helpful? (It's exposure after all...)
No! Provides no useful diagnostic information. Just exposure to the patient
39
How does scatter affect image contrast?
Scatter/fog will decrease image contrast
40
What is quantum noise visible as?
Brightness/density fluctuations
41
What does quantum noise depend on? What aspect of technique?
Dependent on photons (when there are too FEW x-ray photons). Happens with insufficient mAs
42
What is an unwanted image on radiograph that may obscure anatomic information?
Artifact
43
As SID increases, what should you do to technique? What about if SID decreases?
An increase in SID requires an increase in technique A decrease in SID requires a decrease in technique
44
What formula is used to maintain exposure while changing SID?
Direct square law/"old mAs/new mAs"
45
What is the rule for tube angulation and SID changes?
For every 5 degree angle, decrease SID by 1"
46
How does technique change as you implement a tube angle?
Technique INCREASES
47
How do you adjust technique for: Dry plaster cast
Double mAs OR Add 10 kVp
48
How do you adjust technique for: Wet plaster cast
Double mAs AND Increase kVp 10%
49
How do you adjust technique for: Dry fiberglass cast
No change in technique!
50
How do you adjust technique for: Wet fiberglass cast
[No adjustment to mAs] Increase kVp by 5%
51
What is the purpose of beam limiting devices (BLD)?
Limit the size of the field This reduces the amount of scatter radiation produced (makes a better picture) AND reduces PT exposure
52
In general, how should technique change when you increase collimation?
Increase technique
53
In general, how should technique change when you decrease collimation?
Decrease technique
54
When changing technique for collimation, do you change mAs or kVp, or both?
You will alter one or the other- not both. Increasing kVp instead of mAs will result in less patient dose
55
When increasing collimation from 14"x17" to 10"x12", how do you adjust mAs?
Increase mAs 40%
56
When increasing collimation from 14"x17" to 10"x12", how do you adjust kVp?
Increase kVp +5
57
When increasing collimation from 14"x17" to 8"x10", how do you adjust mAs?
Increase mAs 60%
58
When increasing collimation from 14"x17" to 8"x10", how do you adjust kVp?
Increase kVp +10
59
When decreasing collimation from 10"x12" to 14"x17", how do you adjust mAs?
Decrease mAs 40%
60
When decreasing collimation from 10"x12" to 14"x17", how do you adjust kVp?
Decrease kVp -5
61
When decreasing collimation from 8"x10" to 14"x17", how do you adjust mAs?
Decrease mAs 60%
62
When decreasing collimation from 8"x10" to 14"x17", how do you adjust kVp?
Decrease kVp -10
63
What is magnification factor (MF)?
The amount of size distortion or magnification demonstrated on a radiograph
64
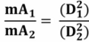
How do you determine Magnification Factor?
65
What is the equation for determining true object size?
Image size/MF
66
What is the equation for finding the object % of magnification?
Obj % mag = (image size-true size)/true size ×100
67
What is the photographic effect formula?
68
What is the ratio for seconds and milliseconds?
1 s/1000 ms
69
As the primary beam attenuates, where does this energy go?
Photons are absorbed, scattered, and transmitted
70
What is the photoelectric effect (PE)?
Complete absorption of the incoming photon. The x-ray ionizes the atom. A low-energy secondary x-ray photon is created.
71
What is the probability of the photoelectric effect dependent on?
The energy of the incoming x-ray photon and the tissue's atomic number
72
In what situations might the Compton effect occur?
It can occur within all diagnostic x-ray energies and is only dependent on the energy of the incoming photon, NOT the tissue's atomic number
73
Does kVp reduce the number of Compton interactions?
No. Higher kVp reduces the number of interactions OVERALL, but the number of Compton interactions INCREASES in comparison to the number of PE interactions
74
What is coherent (classical) scattering?
The incoming photon interacts with the atom, causing it to become excited. The x-ray does not lose energy, but it changes direction
75
What happens to photons in the PE?
An incoming photon has sufficient energy to eject an inner-shell electron and be completely absorbed
76
What fills the vacancy from the ejected inner-shell electron in the PE?
An electron from an outer-shell
77
What is created in PE due to the difference in the electron's binding energies?
A secondary photon is created
78
What does the probability of the PE depend on?
The energy of the incoming x-ray photon and the composition of the anatomic tissue
79
What's the general rate of beam attenuation based on tissue thickness?
Every 4-5 cm/1.6-2" of tissue thickness, the beam is reduced by 50%