Unit 3: Constructing Functions Flashcards

(21 cards)

1
Q

identity function

A
How well did you know this?
1
Not at all
2
3
4
5
Perfectly
2
Q

absolute value function

A
How well did you know this?
1
Not at all
2
3
4
5
Perfectly
3
Q

quadratic function

A
How well did you know this?
1
Not at all
2
3
4
5
Perfectly
4
Q

cubic function

A
How well did you know this?
1
Not at all
2
3
4
5
Perfectly
5
Q

reciprocal function

A
How well did you know this?
1
Not at all
2
3
4
5
Perfectly
6
Q

square root function/radical function

A
How well did you know this?
1
Not at all
2
3
4
5
Perfectly
7
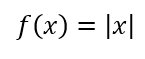
Q

Name the function.

A

absolute value function

How well did you know this?
1
Not at all
2
3
4
5
Perfectly
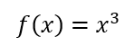
8
Q

Name the function.

A

cubic function

How well did you know this?
1
Not at all
2
3
4
5
Perfectly
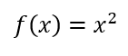
9
Q

Name the function.

A

identity function

How well did you know this?
1
Not at all
2
3
4
5
Perfectly
10
Q

Name the function.

A

quadratic function

How well did you know this?
1
Not at all
2
3
4
5
Perfectly
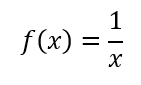
11
Q

Name the function.

A

reciprocal function

How well did you know this?
1
Not at all
2
3
4
5
Perfectly
12
Q

Name the function.

A

square root function

How well did you know this?
1
Not at all
2
3
4
5
Perfectly
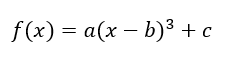
13
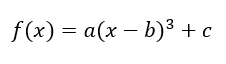
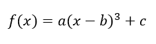
Q

Given some function in the image, what does the transformation “a” do to the function if a>1?

A

If a>1, then it will be a vertical dilation that will stretch the cubic.

How well did you know this?
1
Not at all
2
3
4
5
Perfectly
14
Q

Given some function in the image, what does the transformation “b” do to the function if b>0?

A

If b>0, then the cubic will have a horizontal shift to the left “b” units.

How well did you know this?
1
Not at all
2
3
4
5
Perfectly
15
Q

Given some function in the image, what does the transformation “c” do to the function if c<0?

A

If c<0, then the cubic will have a vertical shift down by “c” units.

How well did you know this?
1
Not at all
2
3
4
5
Perfectly
16
Q

Horizontal transformations happen…

A

inside the parent function.

17
Q

Vertical transformations happen…

A

outside the parent function.

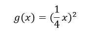
18
Q

What type of transformation does the 4 do to the function?

A

horizontal dilation by a factor of 1/4

19
Q

What type of transformation does the 1/4 do to the function?

A

horizontal dilation by a factor of 4

20
Q

What does the negative do to the function?

A

Reflect over the y-axis

21
Q

What does the negative do to the function?

A

Reflect over the x-axis