Unit 4: Exponential Functions Flashcards

(21 cards)

1
Q

Arithmetic sequences behave like…

A

linear functions.

How well did you know this?
1
Not at all
2
3
4
5
Perfectly
2
Q

Geometric sequences behave like…

A

exponential functions.

How well did you know this?
1
Not at all
2
3
4
5
Perfectly
3
Q

Arithmetic sequences have a common…

A

difference.

How well did you know this?
1
Not at all
2
3
4
5
Perfectly
4
Q

Geometric sequences have a common…

A

ratio.

How well did you know this?
1
Not at all
2
3
4
5
Perfectly
5
Q

Arthimetic formula

without knowing the common difference

A
How well did you know this?
1
Not at all
2
3
4
5
Perfectly
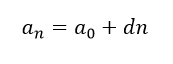
6
Q

Arthimetic formula

with knowing common difference

A
How well did you know this?
1
Not at all
2
3
4
5
Perfectly
7
Q

Geometric formula

without knowing the common ratio

A
How well did you know this?
1
Not at all
2
3
4
5
Perfectly
8
Q

Geometric formula

with knowing the common ratio

A
How well did you know this?
1
Not at all
2
3
4
5
Perfectly
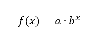
9
Q

Exponential function

general form

A
How well did you know this?
1
Not at all
2
3
4
5
Perfectly
10
Q

Exponential Growth

A
How well did you know this?
1
Not at all
2
3
4
5
Perfectly
11
Q

Exponential Growth

A
How well did you know this?
1
Not at all
2
3
4
5
Perfectly
12
Q

Exponential Decay

A
How well did you know this?
1
Not at all
2
3
4
5
Perfectly
13
Q

Exponential Decay

A
How well did you know this?
1
Not at all
2
3
4
5
Perfectly
14
Q

Product Property

A
How well did you know this?
1
Not at all
2
3
4
5
Perfectly
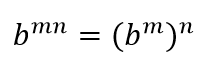
15
Q

Power Property

A
How well did you know this?
1
Not at all
2
3
4
5
Perfectly
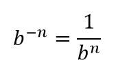
16
Q

Negative Exponent Property

17
Q

Every horizontal translation of an exponential function is equivalent to…

A

a vertical dilation of the exponential function

18
Q

Calculator Steps for finding a model for a list of data…

A
  1. Stat, 1:Edit, enter data
  2. Stat, Calc, choose regression model
  3. Store RegEq: Vars, Y-VARS, 1:Function, 1:Y1
  4. Calculate
19
Q

How do you undo an exponent?

Bring the exponent out of the powers?

A

Take the natural log of both sides of the equation.

20
Q

Residual

A

Actual output value - Predicted output value

21
Q

Residual Plots

A

If the residual plot shows no clear pattern, then the model that was used IS APPROPRIATE.