Unit 4 Matrices & Linear Systems Flashcards

(21 cards)

1
Q

What type of matrix is this?

What can we declare C as?

A

Identity Matrix I[sub]3

How well did you know this?
1
Not at all
2
3
4
5
Perfectly
2
Q

What type of matrix is this?

What can we declare the matrix below as?

A

A diagonal matrix is a square matrix in which all non-diagonal entries are 0.

Diagonal entries in a diagonal matrix can be 0.

How well did you know this?
1
Not at all
2
3
4
5
Perfectly
3
Q

What type of matrix is this?

What can we declare the matrix below as?

A

Scalar Matrix

How well did you know this?
1
Not at all
2
3
4
5
Perfectly
4
Q

What type of matrix is this?

What can we declare the matrix below as?

A

Zero Matrix

A zero matrix does not need to be of a specific size.

How well did you know this?
1
Not at all
2
3
4
5
Perfectly
5
Q

What type of matrix is this?

What can we declare the matrix below as?

A

Square Matrix

A square matrix has an equal number of rows and columns.

How well did you know this?
1
Not at all
2
3
4
5
Perfectly
6
Q

What type of matrix is this?

What can we declare the matrices below as?

A
How well did you know this?
1
Not at all
2
3
4
5
Perfectly
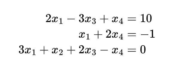
7
Q

Consider the system of linear equations

What is the augmented matrix corresponding to the given system of equations?

A

Fill in 0 for the missing variables Notes

How well did you know this?
1
Not at all
2
3
4
5
Perfectly
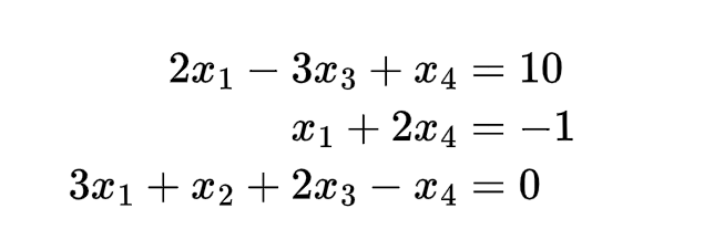
8
Q

Consider the system of linear equations

What is the size of the coefficient matrix associated with the system?

A
How well did you know this?
1
Not at all
2
3
4
5
Perfectly
9
Q

Determining Profit

A food services company has company-operated restaurants, franchises, and food trucks. The revenue and expenses for three years for each of these categories are shown in the spreadsheet below. Use matrix algebra to determine the yearly profit from each food service category.

A

The profit P for the company is the revenue minus the production expenses and advertising costs.

How well did you know this?
1
Not at all
2
3
4
5
Perfectly
10
Q

Properties of matrix addition and scalar multiplication

A
How well did you know this?
1
Not at all
2
3
4
5
Perfectly
11
Q

What does this acronym mean?

P = R - I - C

A

This means that profit for the $ is the revenue minus the inventory and payroll costs,

How well did you know this?
1
Not at all
2
3
4
5
Perfectly
12
Q

When can two matrices be multiplied?

A

Two matrices can be multiplied only if the number of columns in the first matrix equals the number of rows in the second matrix.

How well did you know this?
1
Not at all
2
3
4
5
Perfectly
13
Q

Element Row Operations

What does the following row operation demonstrate?

A

This indicates that you switch row i and row j

How well did you know this?
1
Not at all
2
3
4
5
Perfectly
14
Q

Element Row Operations

What does the following row operation demonstrate?

A

The product of the that row and the constant c then replaces the orginal row; with the products result.

How well did you know this?
1
Not at all
2
3
4
5
Perfectly
15
Q

Element Row Operations

What does the following row operation demonstrate?

A
How well did you know this?
1
Not at all
2
3
4
5
Perfectly
16
Q

Identifying echelon form.

What are the rules for Identifying echelon form?

17
Q

Identifying echelon form.

What are the rules for Reduced echelon form?

18
Q

Determining number of possible pivots.

What is the largest number of pivots that a 3 X 4 matrix could have?

Only one pivot can exist in each row and each column.

A

The largest number of pivots possible is min{3,4}=3

min{rows, columns}

19
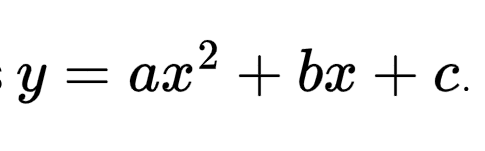
Q

Curve Fitting

Find the equation for a parabola that passes through (3, 25), (1, 5), and (-2, 20).

general form for a parabola
20
Q

Inverse of a matrix

21
Q

Number of entries

What is the number of entries in the adjacency matrix of a graph having 11 vertices?