Unit 5 Sequences Flashcards

(26 cards)

1
Q

finite

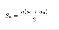
The formula for the nth term of an arithmetic sequence is given by.

an=

A

nth aka explicit form

How well did you know this?
1
Not at all
2
3
4
5
Perfectly
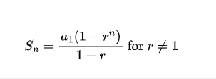
2
Q

Finite

The formula for the nth term of an geometric sequence is given by.

an=

A

nth aka explicit form

How well did you know this?
1
Not at all
2
3
4
5
Perfectly
3
Q

To find a formula for an for the nth term (explicit) of the arthmetic sequence, what would the common difference be?

A

The common difference would be 4.

How well did you know this?
1
Not at all
2
3
4
5
Perfectly
4
Q

Explain what each are?

A
  1. The geometric sequence given in recurrence form. Ratio = 10
  2. The formula for the explicit form aka “nth term formula”

geometrics deal with ratio (division) and multiplication

How well did you know this?
1
Not at all
2
3
4
5
Perfectly
5
Q

To find a formula for an for the nth term of the geometric sequence, what would the common difference be?

A

The common ratio would be 10.

This is solving for r in its recurrence form
How well did you know this?
1
Not at all
2
3
4
5
Perfectly
6
Q

Finding the formula for the nth term

What does this practically mean?

A

Going from recurrence form to explicit in arithmetic standards

How well did you know this?
1
Not at all
2
3
4
5
Perfectly
7
Q

What formula formula correctly represents the terms as successive powers of 1/2

A
How well did you know this?
1
Not at all
2
3
4
5
Perfectly
8
Q

What is the common way to represent an alternating sign with an explicit fromula for a sequence?

A

(-1)^n

How well did you know this?
1
Not at all
2
3
4
5
Perfectly
9
Q
A

Remember to think of a1 as a0. meaning its used to make the beginning (a=2)

How well did you know this?
1
Not at all
2
3
4
5
Perfectly
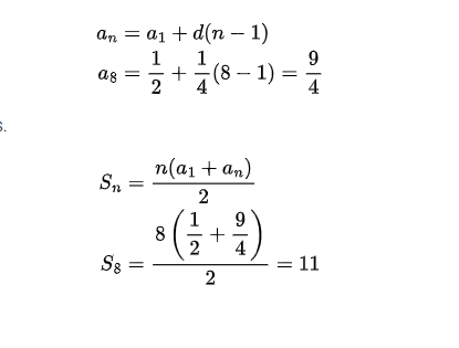
10
Q

Solving problems with arithmetic series

What gives you the idea of the .. first term

A

It says “ a woman is able to walk a half-mile
so a1= 1/2

How well did you know this?
1
Not at all
2
3
4
5
Perfectly
11
Q

Solving problems with arithmetic series

What gives you the idea of the .. common difference (d)

A

It says “ Each Sunday, she walks an additional quarter-mile.

So d= 1/4

How well did you know this?
1
Not at all
2
3
4
5
Perfectly
12
Q

Solving problems with arithmetic series

The question asks for the total number of miles walked after 8 weeks, but this means what exactly?

How would you find a^8 ?

A

This means that n=8

Use the explicit formula for an arithmetic sequence. Notes

How well did you know this?
1
Not at all
2
3
4
5
Perfectly
13
Q

Solving problems with arithmetic series

Solve the application problem.

A

Remember it says “adds” so it’s arithmetic not geometric.

How well did you know this?
1
Not at all
2
3
4
5
Perfectly
14
Q

Solving problems with geometric series

What gives you the idea of the .. first term (a1)

A

It says that “the starting salary is $26,750”

so a1 is 27,750

How well did you know this?
1
Not at all
2
3
4
5
Perfectly
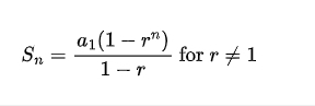
15
Q

Solving problems with finite geometric series

What gives you the idea that this uses the partial sum formula.

A

It says: find the total amount earned at the end of 5 years

How well did you know this?
1
Not at all
2
3
4
5
Perfectly
16
Q

Solving problems with finite geometric series

The question asks for the employee’s total earnings at the end of 5 years, but this means what exactly?

A

This means tha n=5

17
Q

Solving problems with geometric series

What gives you the idea of the .. common ratio (r)

18
Q

Solving problems with geometric series

Solve the application problem.

19
Q

Is a series defined?

  1. How do you determine if a series sum is defined?
  2. Given the first several terms of an infinite series, determine if the sum of the series exists.
20
Q

given the infinite geometric series

Before finding the sum of an infinite series. You must determine if $?

A

Confirm that the ratio is -1 < r < 1

21
Q

Telescope series

How do you know that Sk will converge or not?

What happens next

A
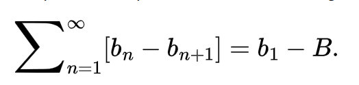
  • Sk will converge if and only if {bk+1} converges to come finite number.
  • And you find the limit of bn+1 to determine that finite number.

The sequence of the partial song converges to {b1-B} Notes

22
Q

Telescope series

What would S3 be?

23
Q

How do we know if the geometric series converges?

Its sequence of partial sums is given by {Sk}
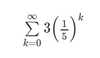
25
What is the sum of the infinite series?
26
To input the sum of the sequence using the sum() function on a TI-Nspire CX CAS, follow these steps: