Unit 4: Probability, Random Variables, and Probability Distributions Flashcards

(22 cards)

1
Q

Law of Large Numbers

A

The law of large numbers states that simulated probabilities tend to get closer to the true probability as the number of trials increases.

How well did you know this?
1
Not at all
2
3
4
5
Perfectly
2
Q

Complement of A

A

P(A’)=1-P(A)

The probability of everything that is NOT event A.

Complement can also be denoted as P(A^c).

How well did you know this?
1
Not at all
2
3
4
5
Perfectly
3
Q

Mutually exclusive events…

A

cannot occur together

How well did you know this?
1
Not at all
2
3
4
5
Perfectly
4
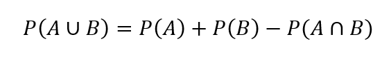
Q

Addition Rule

“or”

A
How well did you know this?
1
Not at all
2
3
4
5
Perfectly
5
Q

Multiplication Rule

“and”

A
How well did you know this?
1
Not at all
2
3
4
5
Perfectly
6
Q

Given Rule

The probability of A given that B already occured.

A
How well did you know this?
1
Not at all
2
3
4
5
Perfectly
7
Q

Independence occurs when…

A
How well did you know this?
1
Not at all
2
3
4
5
Perfectly
8
Q

Discrete random variable

A

a variable that can only take on countable values (whole numbers)

How well did you know this?
1
Not at all
2
3
4
5
Perfectly
9
Q

Continuous random variable

A

a variable that can have infinitly many values between two numbers (decimals)

Usually something measurable

How well did you know this?
1
Not at all
2
3
4
5
Perfectly
10
Q

Expected Value for discrete random variables

A

Typically the problem will give you a probability distribution table.

How well did you know this?
1
Not at all
2
3
4
5
Perfectly
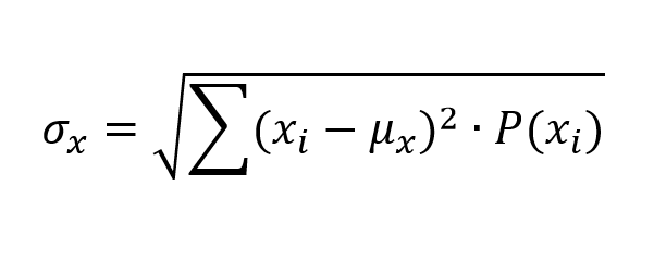
11
Q

Standard deviation for a discrete random variable

A
How well did you know this?
1
Not at all
2
3
4
5
Perfectly
12
Q

Transformations on expected value

A

You can add, subtract, multiply and divide to find the new mean

How well did you know this?
1
Not at all
2
3
4
5
Perfectly
13
Q

Transformations on standard deviation

A

Can only multiply to get new standard deviation

How well did you know this?
1
Not at all
2
3
4
5
Perfectly
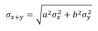
14
Q

Combining standard devations

A
How well did you know this?
1
Not at all
2
3
4
5
Perfectly
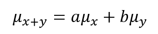
15
Q

Combining means

A
How well did you know this?
1
Not at all
2
3
4
5
Perfectly
16
Q

Binomial Formula

17
Q

Mean for binomial

18
Q

standard devation for binomial

19
Q

How do you know when to use binomial?

A

The problem will give you n (sample size)

20
Q

How do you know when to use geometric?

A

The problem will ask for the FIRST success

21
Q

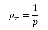
Mean of geometric

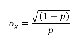
22
Q

standard deviation of geometric