Unit 5: Sampling Distributions Flashcards

(13 cards)

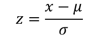
1
Q

z-score formula

A
How well did you know this?
1
Not at all
2
3
4
5
Perfectly
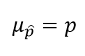
2
Q

Mean of sampling distribution for proportions

A

p is coming from the claim

How well did you know this?
1
Not at all
2
3
4
5
Perfectly
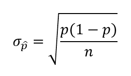
3
Q

standard devation of sampling distribution for proportions

A
How well did you know this?
1
Not at all
2
3
4
5
Perfectly
4
Q

What conditions do you check to see if you can use a normal distribution for a sampling distribution for proportions?

A
  1. Is each event independent of each other?
  2. Is the sample size less than 10% of the population size?
  3. Is the sample size large enough where np>=10 and n(1-p)>=10?
How well did you know this?
1
Not at all
2
3
4
5
Perfectly
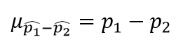
5
Q

Mean for differences in sampling distributions for proportions

A
How well did you know this?
1
Not at all
2
3
4
5
Perfectly
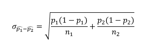
6
Q

standard deviation in differences of sampling distributions for proportions

A
How well did you know this?
1
Not at all
2
3
4
5
Perfectly
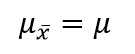
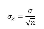
7
Q

Mean of sampling distribution for means

A
How well did you know this?
1
Not at all
2
3
4
5
Perfectly
8
Q

standard deviation of sampling distribution for means

A
How well did you know this?
1
Not at all
2
3
4
5
Perfectly
9
Q

What conditions do you check to see if you can use a normal distribution for a sampling distribution for means?

A
  1. Tells you that data is approximately normally distributed or graph the data to see if it’s approximately normal (symmetric and unimodal)
  2. n>=30
How well did you know this?
1
Not at all
2
3
4
5
Perfectly
10
Q

Central Limit Theorem

A

when a sample size is sufficiently large, a sampling distribution of the mean of a random variable will be approximately normal.

How well did you know this?
1
Not at all
2
3
4
5
Perfectly
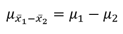
11
Q

Mean for differences in sampling distributions for means

A
How well did you know this?
1
Not at all
2
3
4
5
Perfectly
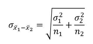
12
Q

Standard deviation for differences in sampling distributions for means

A
How well did you know this?
1
Not at all
2
3
4
5
Perfectly
13
Q

Finding the critical z value for each confidence level

A
How well did you know this?
1
Not at all
2
3
4
5
Perfectly