Vector/Scalar Flashcards

(23 cards)

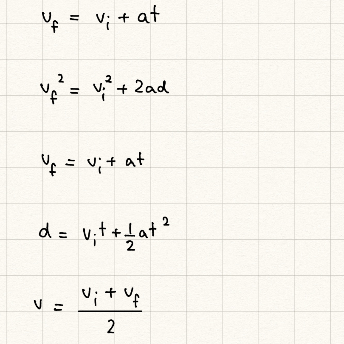
1
Q

Motion equations

A
How well did you know this?
1
Not at all
2
3
4
5
Perfectly
2
Q

density

A

mass/vol , SCALAR

How well did you know this?
1
Not at all
2
3
4
5
Perfectly
3
Q

TIME

A

SCALAR

How well did you know this?
1
Not at all
2
3
4
5
Perfectly
4
Q

CURRENT density

A

J , VECTOR

How well did you know this?
1
Not at all
2
3
4
5
Perfectly
5
Q

FORCE/ WEIGHT

A

VECTOR

How well did you know this?
1
Not at all
2
3
4
5
Perfectly
6
Q

WORK / ENERGY

A

SCALAR

How well did you know this?
1
Not at all
2
3
4
5
Perfectly
7
Q

POWER

A

SCALAR

How well did you know this?
1
Not at all
2
3
4
5
Perfectly
8
Q

IMPULSE

A

vector

certain amt of force/certain amt of time

cause object’s momentum to change

How well did you know this?
1
Not at all
2
3
4
5
Perfectly
9
Q

torque

A

torque = rF sin θ

VECTOR

How well did you know this?
1
Not at all
2
3
4
5
Perfectly
10
Q

DRAG

A

is a type of force

VECTOR

friction in air or air resistance

How well did you know this?
1
Not at all
2
3
4
5
Perfectly
11
Q

temperature

A

scalar

How well did you know this?
1
Not at all
2
3
4
5
Perfectly
12
Q

electric charge

A

scalar

trap alert

How well did you know this?
1
Not at all
2
3
4
5
Perfectly
13
Q

momentum

A

vector

How well did you know this?
1
Not at all
2
3
4
5
Perfectly
13
Q

kinetic energy

A

scalar

How well did you know this?
1
Not at all
2
3
4
5
Perfectly
13
Q

angular velocity

A

vector

How well did you know this?
1
Not at all
2
3
4
5
Perfectly
13
Q

velocity

14
Q

pressure

15
Q

current

16
Q

period
frequency

16
Q

voltage / electric potential

16
Q

entropy

specific heat capacity

A

both scalar electri

17
Q

electric field
magnetic field

18
Q

displacement