VI-Hypothesis Testing-4 Flashcards

(18 cards)

1
Q

null hypothesis, alternative hypothesis

名称、

内涵

相互关系

A

null: 原假设,希望拒绝的假设 H0
alternative: 备择假设,希望的结论Ha

相互互补

How well did you know this?
1
Not at all
2
3
4
5
Perfectly
2
Q

one-tailed test

and

two-tailed test

A
How well did you know this?
1
Not at all
2
3
4
5
Perfectly
3
Q

Test statistic

equation

A

standarlization of Xbar

How well did you know this?
1
Not at all
2
3
4
5
Perfectly
4
Q

critical value:

definition

determin factors

A

即k

  • 查哪张表:z, t, F, Chi Square
  • level of confidence
  • one-tailed or two-tailed
How well did you know this?
1
Not at all
2
3
4
5
Perfectly
5
Q

Hypothesis Testing

8 部曲

A
  1. set null/alternative hypothesis
  2. determine distribution
  3. draw regect region
  4. determine level of significance
  5. determin critical value
  6. sampling – test statistic z value
  7. compare z and k
  8. draw conclusion: reject or fail to reject
How well did you know this?
1
Not at all
2
3
4
5
Perfectly
6
Q

mean hypothesis testing

如何选择? 表格

A
How well did you know this?
1
Not at all
2
3
4
5
Perfectly
7
Q

mean hypothesis testing

method selection

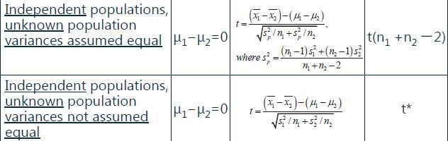
两个mean,独立

区分H0, test-statistic, critical value

A

注意assume same variance - pool variance

How well did you know this?
1
Not at all
2
3
4
5
Perfectly
8
Q

mean hypothesis testing

method selection

两个mean,不独立

方法,H0, test-statistics, critical value

A

d1 = mean1 - mean2

【分母更正】图中S☞standard error, 即:

Sd/根n

How well did you know this?
1
Not at all
2
3
4
5
Perfectly
9
Q

variance hypothesis testing

如何选择? 表格

A
How well did you know this?
1
Not at all
2
3
4
5
Perfectly
10
Q

variance hypothesis testing

Chi-square

Ho, test-statistics, critical value

A
How well did you know this?
1
Not at all
2
3
4
5
Perfectly
11
Q

variance Hypothesis testing

F-distribution

Ho, test-statistic, critical value

差F表时注意

A
  1. 单双尾都只查一个值
  2. s/s,大者放分子
How well did you know this?
1
Not at all
2
3
4
5
Perfectly
12
Q

P-value

definition

rule

A

lower p-value,

stronger evidence to reject Ho

How well did you know this?
1
Not at all
2
3
4
5
Perfectly
13
Q

Type I error

definition

P (type I error)

A
  • definition: reject the null hypothesis when it’s actually true
  • 拒真,错杀好人
  • P (type I error) = level of significance, α
How well did you know this?
1
Not at all
2
3
4
5
Perfectly
14
Q

Type II error

definition

A
  • fail to reject the null hypothesis when it’s actually false
  • 取伪,放走坏人
How well did you know this?
1
Not at all
2
3
4
5
Perfectly
15
Q

Power of test

definition

equation

A
How well did you know this?
1
Not at all
2
3
4
5
Perfectly
16
Q

关于 type I error & type II error

两个结论

A
  1. P(I)上升(level of significance 上升), P(II)下降,两者反相关
  2. 要想P(I) P(II) 都下降:increase sample size
17
Q

什么情况下使用nonparametric test?

A
  1. 不满足分布假设(如:非正态分布总体小样本)
  2. 数据为ordinal given in rank (第一,第二、、、)
  3. 检验的事项与参数无关(如股票+-)
18
Q
  1. 单尾/双尾,哪一个tester 有stronger believe?
  2. p-value: less precise than rejection points?
A
  1. 单尾检验有stronger believe
  2. not less precise.