corpuscular theory
wave theory
Huygens principle: Every point on a wavefront may be considered to be a point source of secondary wavelets that spread out in the forward direction at the speed of the wave. The new wavefront is the surface that is tangential to all of these secondary wavelets.

How did Fizeau measure the speed of light?
He passed a beam of light through the gap between 2 cog teeth to a reflector about 9 km away. The cog was rotated at exactly the right speed so that when the light returned it would travel through the next gap in the cog teeth.
Using the frequency of rotation and number of teeth Fizeau could calculate the time period for the light to travel to the reflector and back
As the distance was set, Fizeau had values for time and distance so he could calculate the speed of light.

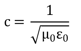
Maxwell’s prediction of EM waves and their speed

Hertz discovering radio waves

Hertz measuring the speed of radiowaves
black body radiation
Pure black surfaces emit radiation strongly and in a well-defined way. This is called black body radiation

A black body: defined as a body that absorbs all wavelengths of EM radiation and can emit all wavelengths of EM radiation
the ultraviolet catastrophe
wave theory can explain the slope of the black body radiation graph at long wavelengths, but predicted an infinitely high peak towards the UV region - ultraviolet catastrophe
-the photon model of light can explain it

the photon model of light
e=hf=hc/wavelength
wave-particle duality
-DeBroglie came up with the wave-particle duality theory.
If ‘wave-like’ light showed particle properties, ‘particle’ like electrons should be expected to show wave-like properties
p (momentum) = h/ wavelength
electron diffraction
electron microscopes
they use electrons instead of light
transmission electron microscope (TEM)
A very thin specimen is used and the parts of the beam that pass through the specimen are projected onto a screen to form an image
scanning tunneling microscope (STM)