What is the Linear Probability Model?
A model where you try to predict the probability of a binary variable using the regular OLS model.
What is the disadvantage of using a Linear Probability Model?
It can estimate probabilities outside the [0, 1] range.
What are two models we can use to predict probabilities of a binary variable? On what are they based?
We can choose the following two models:
What is a Latent variable?
A latent variabale is a variable that is not directly observed but can be inferred. We can create the latent variable e.g. yi* for yi.

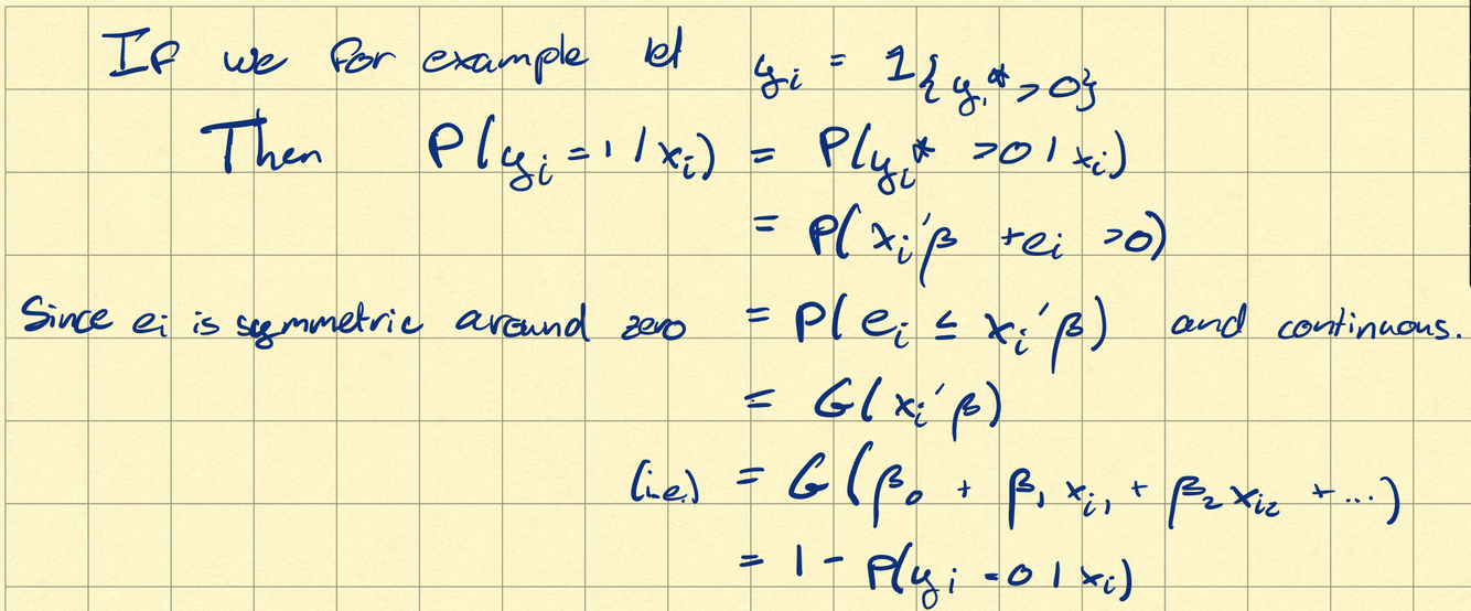
Derive the probabilities for P(yi = 1 | xi) in a binary probiy/logit model for the case that yi = 1{yi* > 0}.
Note: in the image is G(.) the CDF for the standard logistic or standard normal distribution.

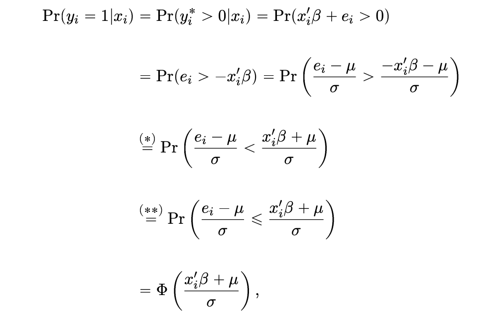
Why can we assume ei ~ N(0, 1) without loss of generality? (i.e. why do we not essume ei ~ N(μ, σ2))
We can set: (see image).
This means that we do not identify any of the beta’s, mu’s or sigma’s. Even with infinitely many observations we could not observe any difference, thus we can set mu and sigma to 0 without loss of generality.

What is the marginal effect of e.g. x1 on the estimated value (in a binary probit/logit model)?

What is the PEA?
Partial Effect at the Average, it is just the derivative of the probability function (relative to x) and then at the mean of x.
What is the APE?
Average Partial Effect, calculated as follows:

What are the advantages and disadvantages of the APE compared to the PEA?

What is a disadvantage of both the PEA and APE?

Derive the likelyhood and loglikelyhood of the binary probit and logit model.

What is the z-statistic, how do we use it?
The z-statistic is similar to the t-statistic (but since we use MLE it is only asymptotically valid). The z-statistic = β1/SE1. The 95% confidence interval is it z-statistic +/- 1.96.
If 0 is not within this range we reject H0: βj = 0.
How can we compare estimated values between the binary logit and probit models?
We could divide them, e.g.

How can we compare parameters between the binary probit and logit models?
What is the AIC? And what is the SC?
They both measure the relative (i.e. which one is less bad) quality of models with estimated likelyhood. For both holds that lower is better.

What is the McFadden (pseudo) R-squared?
Higher (i.e. closer to 1) is better. This model is not relative.

What is the Percentage Correctly Predicted?
Higher is better (obv.)

How is the McFadden (pseudo) R-squared increasing in the likelyhood?
Since we have that ln L0 < 0, we have that:
1 - ln L / ln L0 = 1 + (ln L /- ln L0)
This means that L is increasing in the McFadden R-squared.