What is a truncated data sample?
A data sample where we do not observe any data above (or below) a certain threshold.
Why should we not use the regular OLS method for truncated data?
It would be biased, since E(ui | xi) ≠ 0
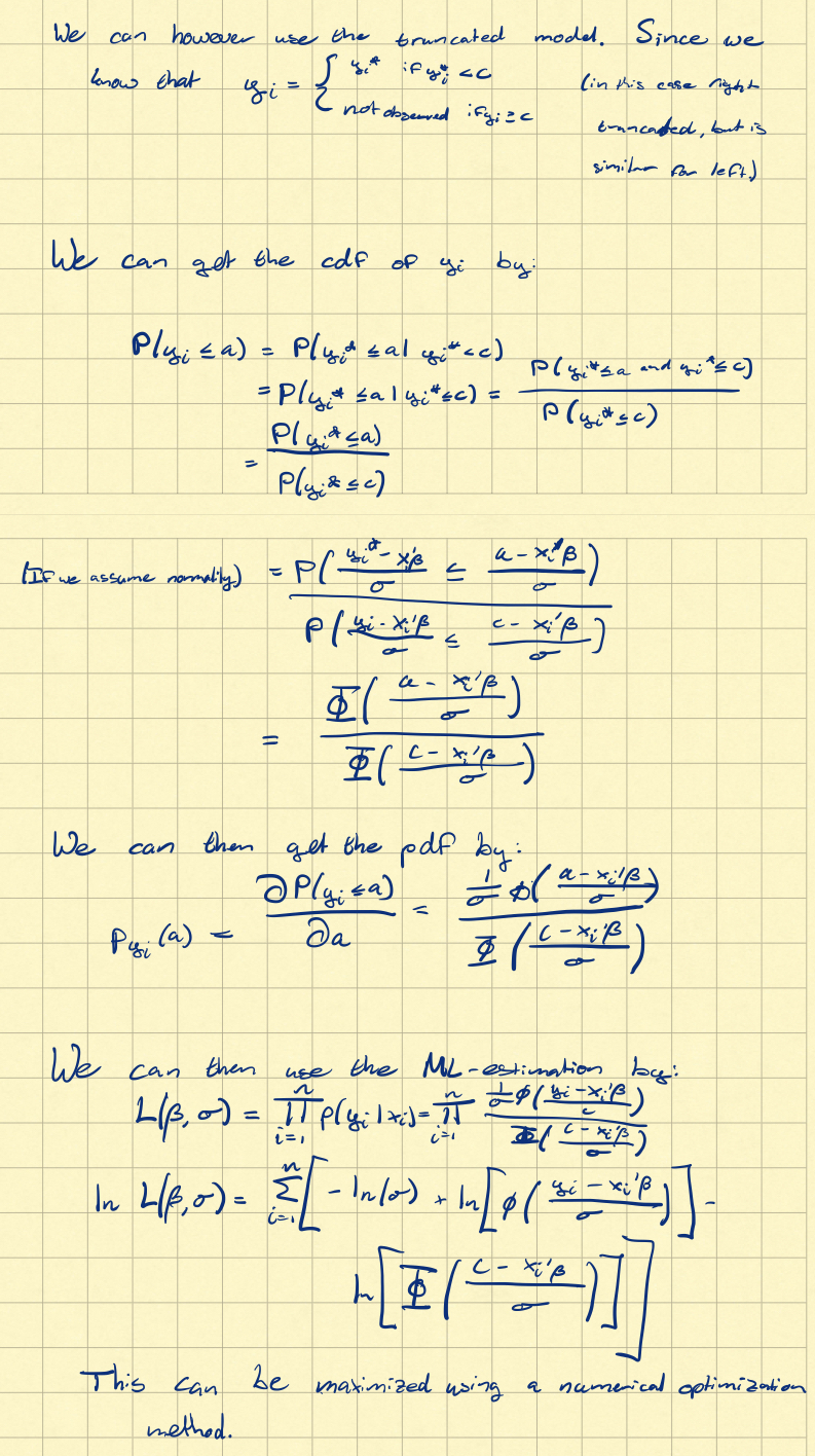
Derive the truncated model (you can assume normalit).

What is a censored data sample? What is the difference with a truncated data sample?
In a censored data sample you can not observe values above (or below) a certain threshold, however we do know that these observations exist. In a truncated model we do not know that.
Why can’t we use the regular OLS model on a censored data sample?
It is biased since E[ui | xi] ≠ 0
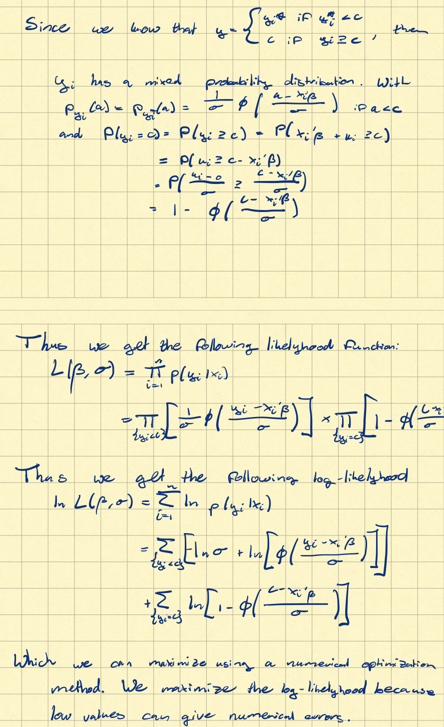
Derive the Tobit Type 1 model (you may assume normality).



What is a corner solution response?
Something where we use the same model as for censored data (Tobit type 1), however we are not intrested yi*, but in yi (i.e. we are not intrested in the true value but the observed value, e.g. when requesting donations we do not care about how much someone wanted to give - this could be below 0 - but how much they actually gave).
This is thus a different interpretation. DIT MOET NOG WEL VERBETERD WORDEN DENK IK
What is an assumption of the Tobit type 1 model?

How to check if the assumption of the Tobit type 1 model holds?

What is the main difference between the Heckit and Tobit type 1 model?
