valuation of shares under uncertainty
what do investors require?
Where there is uncertainty, investors require compensation in the form of a higher promised rate of return
why is share valuation more difficult than debenture valuation?
uncertainty of promised cash flows
shares have no maturity
observing the market rate of return is not easy.
what is the market value of a share?
nis the present value of all expected net cash flows (dividends) to be received from the share, discounted at a rate of return that reflects the riskiness of those cash flows
the required rate of return is related to?
nThe RRR is related to the risk-structure of the asset.
since RRR is related to the risk structure of an asset, to determine the appropriate RRR for an asset,
what type of risks are considered?
RRR is determined by the investors’ compensation required for taking on those risks.
The type of risks considered by investors include:
1.Default Risk
2.Inflation Risk
3.Liquidity Risk
4.Uncertainty of Cash Flows
5.Maturity Risks
The required rate of return on shares (ke) is determined using the concept of
The required rate of return on shares (ke) is determined using the concept of the opportunity cost of capital.
nThe required rate of return on shares (ke) is determined using the concept of the opportunity cost of capital.
what does this mean?
The ‘true’ or economic cost of investing in a particular security is the return forgone on the next best alternative.
nThe required rate of return on shares (ke) is determined using the concept of the opportunity cost of capital.
what does this mean for a risky security?
For a risky security, this return is greater than the return on the risk-free security (rf). In short, ke > rf
Further, the riskier the security being considered, the higher the risk premium will be and the higher ke will be.
nThe required rate of return on shares (ke) is determined using the concept of the opportunity cost of capital.
what is the security’s risk premium?
The amount by which ke exceeds rf
valuation of shares under uncertainty
what do we assume?
e assume that all investors reach the same assessment of risk, and therefore apply the same opportunity cost of capital (discount rate) to the same expected dividend stream, therefore arriving at the same price for the company’s shares
constant dividends
in share valuation, the constant dividend assumption is
nis the simplest that can be made.

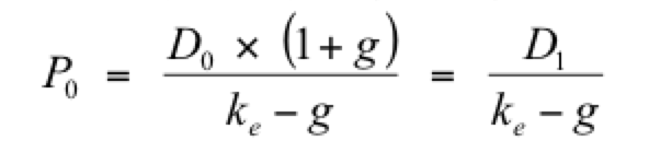
what does the dividend growth model show?
Dividends grow at a constant rate each time period

To estimate growth in dividend g, we assume
nthe company’s retained earnings earn at the rate of return r, i.e.
g = br

Non-constant Growth Dividend
The growth rate cannot exceed the required rate of return indefinitely but
can do so for a number of years.
Allows for ‘super normal’ growth rates over some finite length of time
The dividends have to grow at a constant rate at some point in the future.
Unless liquidation of the company is contemplated, the dividends (periodic cash flows from an investment in shares) are assumed to
continue indefinitely
Components of Required Return

components of required rate of return
capital gains yield at time T and dividends yield at time T

what are debt securities?
debentures are issued when an organisation or government wishes to borrow money from the public.
Debentures are (long-term) secured and issued by a corporation.
Notes are (short-term) unsecured debt securities issued by a corporation.
n
These are all known as bonds.
As has been explained for shares, if all securities offer certain returns, each security’s opportunity cost of capital is
he risk-free interest rate (or yield) rf.
describe a bond
bond has been issued—that is, sold by the borrower to the lender—its promised future cash flows are fixed.
Ownership of the bond entitles the owner to receive from the issuer a fixed schedule of future cash flows.