Week 3: Complex stress Flashcards

(20 cards)

1
Q

What is meant by complex stress?

A

Stress due to loading that is applied in more than one direction at the same time

Book 1 page 74

How well did you know this?
1
Not at all
2
3
4
5
Perfectly
2
Q

How do you refer to loading which is in a single axial direction?

A

Uniaxial

Book 1 page 76

How well did you know this?
1
Not at all
2
3
4
5
Perfectly
3
Q

What are the transformation equations?

A

σθ = σ cos2 θ

τθ = σ sin θ cos θ

Book 1 page 83

How well did you know this?
1
Not at all
2
3
4
5
Perfectly
4
Q

At which angle is the maximum normal stress and minimum shear stress experienced (between 0° and 90°)?

A

θ = 0

Book 1 page 85

How well did you know this?
1
Not at all
2
3
4
5
Perfectly
5
Q

At which angle is the minimum normal and shear stress experienced (between 0° and 90°)?

A

θ = 90°

Book 1 page 85

How well did you know this?
1
Not at all
2
3
4
5
Perfectly
6
Q

At which angle is the maximum shear stress experienced (between 0° and 90°)?

A

θ = 45°

Book 1 page 85

How well did you know this?
1
Not at all
2
3
4
5
Perfectly
7
Q

What should be noted when the angle θ is greater than 90°, in terms of shear and normal stresses?

A

The value of cos θ becomes negative and the direction of the shear stress on the section reverses

Book 1 page 85 & 86

How well did you know this?
1
Not at all
2
3
4
5
Perfectly
8
Q

What is ‘stress at a point’?

A

Describing stress at chosen points of interest in the component

Book 1 page 87

How well did you know this?
1
Not at all
2
3
4
5
Perfectly
9
Q

What is the difference between a stress element and a finite element?

A

Stress element - Infinitesimally small block of material that describes stress at a point

Finite element - Small finite region that is part of a larger mesh used to numerically analyse a complex part

Book 1 page 87

How well did you know this?
1
Not at all
2
3
4
5
Perfectly
10
Q

What is meant by complementary shear stresses?

A

Shear stresses on perpendicular planes which must always be equal in magnitude for the shear element to be in equilibrium

Book 1 page 88

How well did you know this?
1
Not at all
2
3
4
5
Perfectly
11
Q

What type of stress is not considered when talking about plane stress?

A

Shear or normal stresses acting in the out of plane (z-axis) direction

Book 1 page 89

How well did you know this?
1
Not at all
2
3
4
5
Perfectly
12
Q

When is a shear stress considered to be positive?

A

When it is positive facing on the positive face of the element

When it is negative facing on the negative face of the element

Book 1 page 90

How well did you know this?
1
Not at all
2
3
4
5
Perfectly
13
Q

What are the two subscripts used in shear stress notation?

A

First indicates the plane (i.e. the element face)

Second indicates the direction of the shear stress

Book 1 page 90

How well did you know this?
1
Not at all
2
3
4
5
Perfectly
14
Q

What is biaxial stress and give an example?

A

The element experiences axial stress in two directions and no shear stress

Pressurised bottle or can where all the stress acts tangentially to the walls

Book 1 page 93

How well did you know this?
1
Not at all
2
3
4
5
Perfectly
15
Q

What is pure shear stress and give an example?

A

The element experiences shear stress but no axial stress

Shaft under torsion with no other loading

Book 1 page 93

How well did you know this?
1
Not at all
2
3
4
5
Perfectly
16
Q

What is the first step in learning a method to determine the largest stress at any point (principal stress)?

A

The process of transforming plane stress from one frame of reference to another is performed using the plane stress transformation equations

Book 1 page 94

17
Q

What is meant by planes of principal stress and principal stress?

A

Principal stress - Maximum and minimum normal stresses

Planes of principal stress - Where the plane stresses occur at two mutually perpendicular planes at which the shear stresses are zero

Book 1 page 99

18
Q

What expression is used to find the angle at which the principal stresses occur?

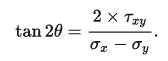
19
Q

What expressions are used to find the minimum and maximum principal stresses?

A

Book 1 page 102

20
Q

What expressions are used to calculate the maximum shear stress and the angle at which this occurs?

A

Book 1 page 105